mp-8872/RbNa2BO3/anharm

Harmonic properties

../../_images/fig_bandos_pr1943.png

(a) Phonon dispersion with participation ratio and DOS

../../_images/fig_thermo1943.png

(b) Thermodynamic properties

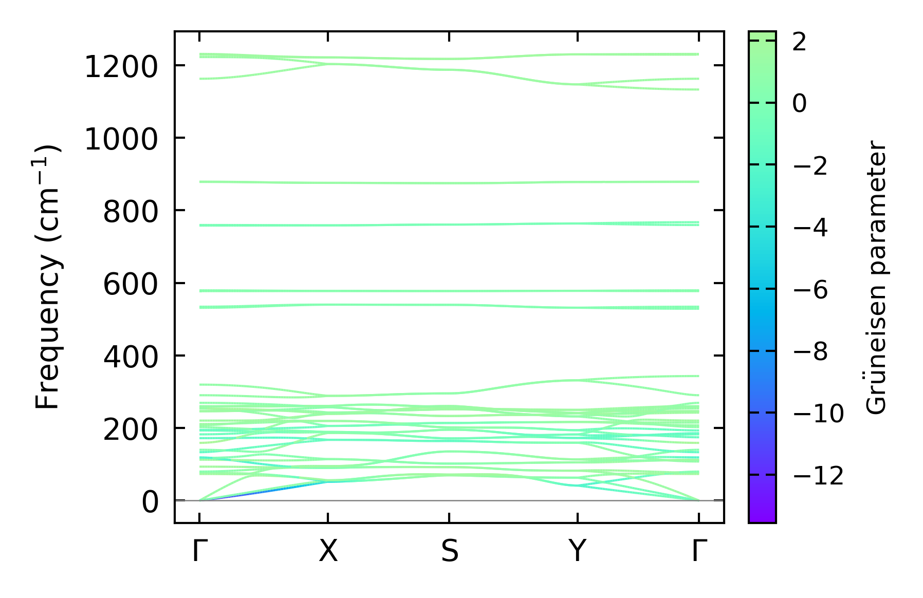
Grüneisen parameters

../../_images/fig_gru_all1117.png

(a) Grüneisen parameters

../../_images/fig_gruneisen1117.png

(b) Phonon dispersion with Grüneisen parameters

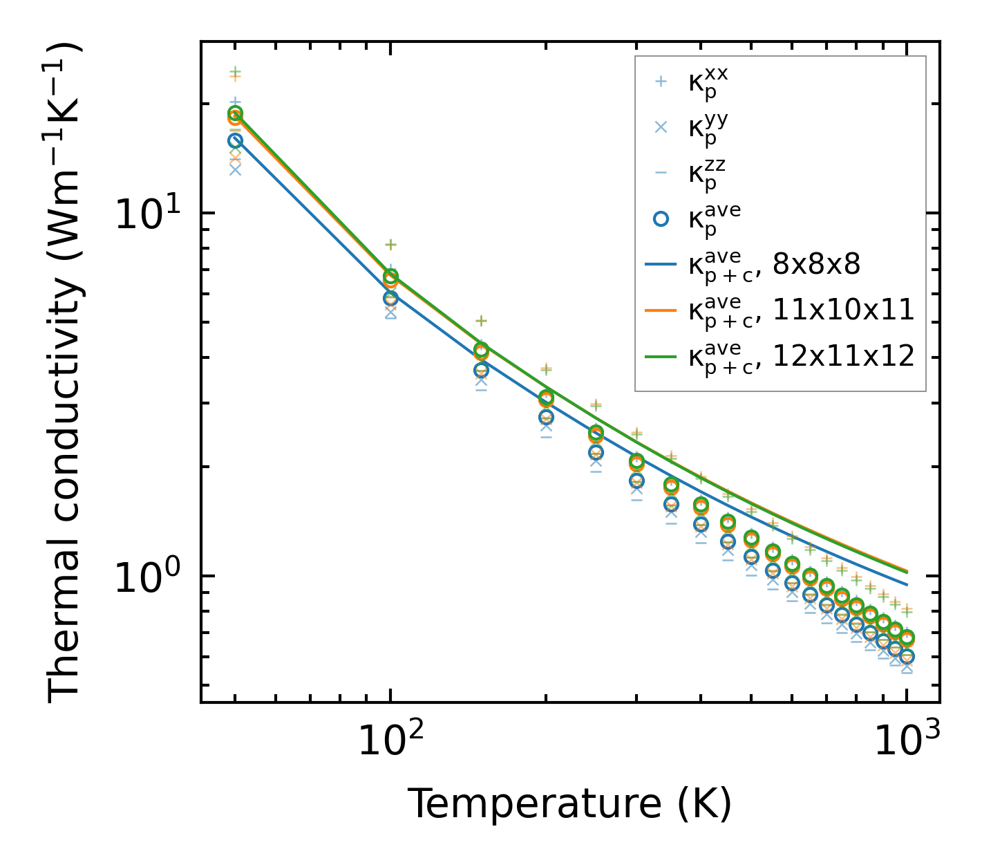
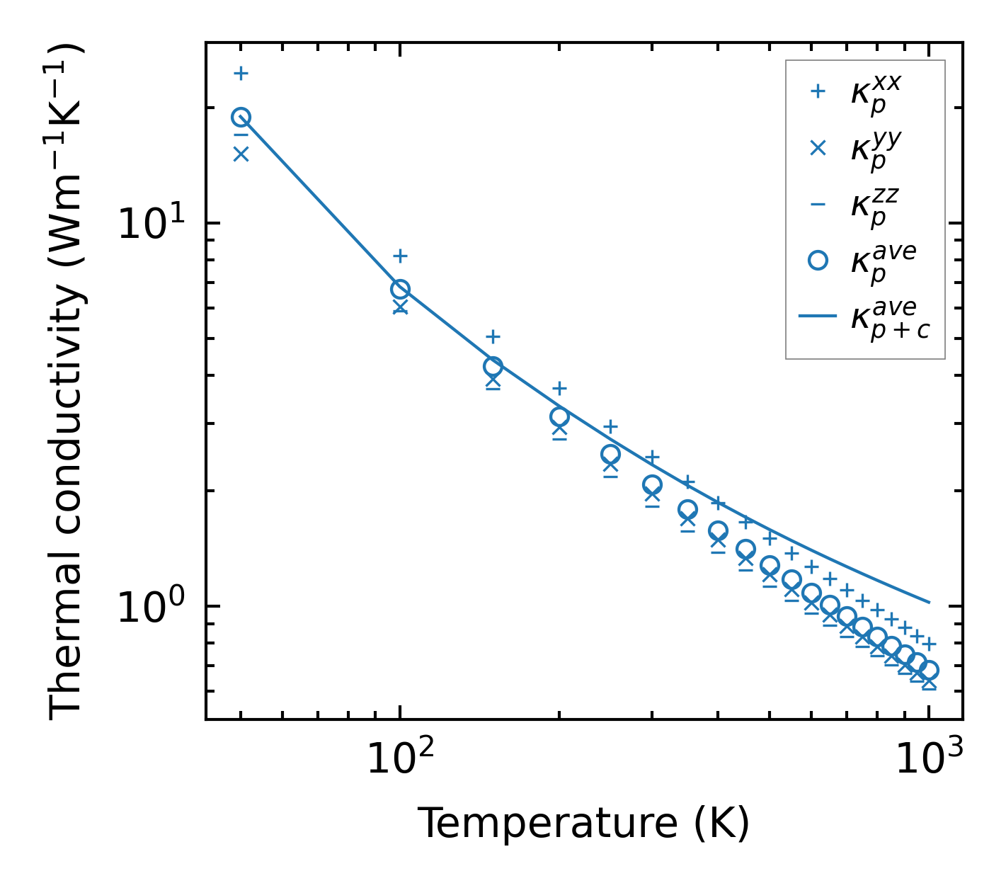
Thermal conductivity

3-phonon (LASSO) — q-mesh: 12x11x12, supercell: 2x2x2

../../_images/fig_kappa2151.png

(a) Temperature-dependent lattice thermal conductivity

../../_images/fig_kappa_vs_grain_size1128.png

(b) Peierls lattice thermal conductivity w.r.t grain size

Phonon lifetime and scattering rates

../../_images/fig_lifetime1108.png

(a) Phonon lifetime due to phonon-phonon scattering

../../_images/fig_scat_rates1107.png

(b) Phonon scattering rates

Cumulative and spectral thermal conductivity

../../_images/fig_cumu_frequency1108.png

(a) Spectral and cumulative thermal conductivity w.r.t frequency

../../_images/fig_cumu_mfp1108.png

(b) Spectral and cumulative thermal conductivity w.r.t MFP

Force constants

../../_images/fig_fc21766.png

(a) Force constants w.r.t atomic distance

Summary

../../_images/fig_kappa2152.png

(a) Temperature-dependent lattice thermal conductivity

../../_images/fig_times2950.png

(b) Computation time