mp-8203-2/ZrP2S6/anharm

Equation of state

../../_images/fig_bm887.png

(a) Equation of state

Harmonic properties

../../_images/fig_bandos_pr2080.png

(a) Phonon dispersion with participation ratio and DOS

../../_images/fig_thermo2080.png

(b) Thermodynamic properties

Grüneisen parameters

../../_images/fig_gru_all1190.png

(a) Grüneisen parameters

../../_images/fig_gruneisen1190.png

(b) Phonon dispersion with Grüneisen parameters

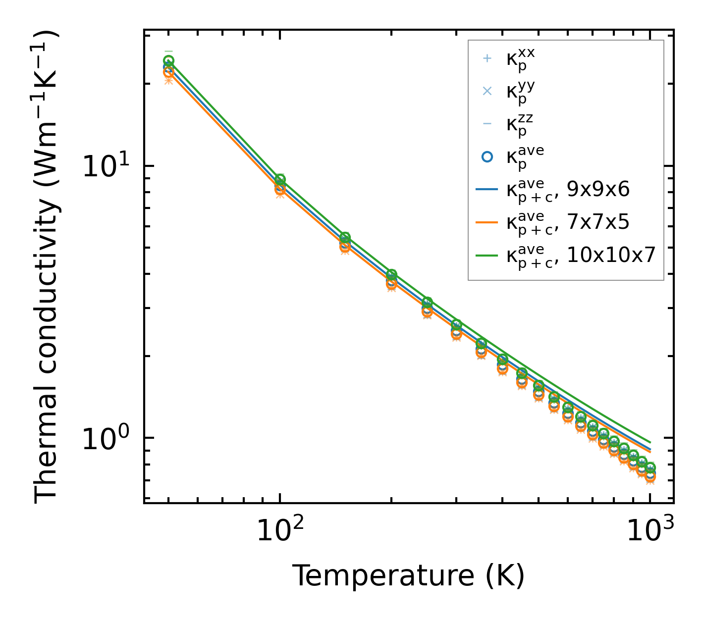
Thermal conductivity

3-phonon (LASSO) — q-mesh: 10x10x7, supercell: 2x2x2

../../_images/fig_kappa2294.png

(a) Temperature-dependent lattice thermal conductivity

../../_images/fig_kappa_vs_grain_size1204.png

(b) Peierls lattice thermal conductivity w.r.t grain size

Phonon lifetime and scattering rates

../../_images/fig_lifetime1180.png

(a) Phonon lifetime due to phonon-phonon scattering

../../_images/fig_scat_rates1179.png

(b) Phonon scattering rates

Cumulative and spectral thermal conductivity

../../_images/fig_cumu_frequency1180.png

(a) Spectral and cumulative thermal conductivity w.r.t frequency

../../_images/fig_cumu_mfp1180.png

(b) Spectral and cumulative thermal conductivity w.r.t MFP

Force constants

../../_images/fig_fc21901.png

(a) Force constants w.r.t atomic distance

Summary

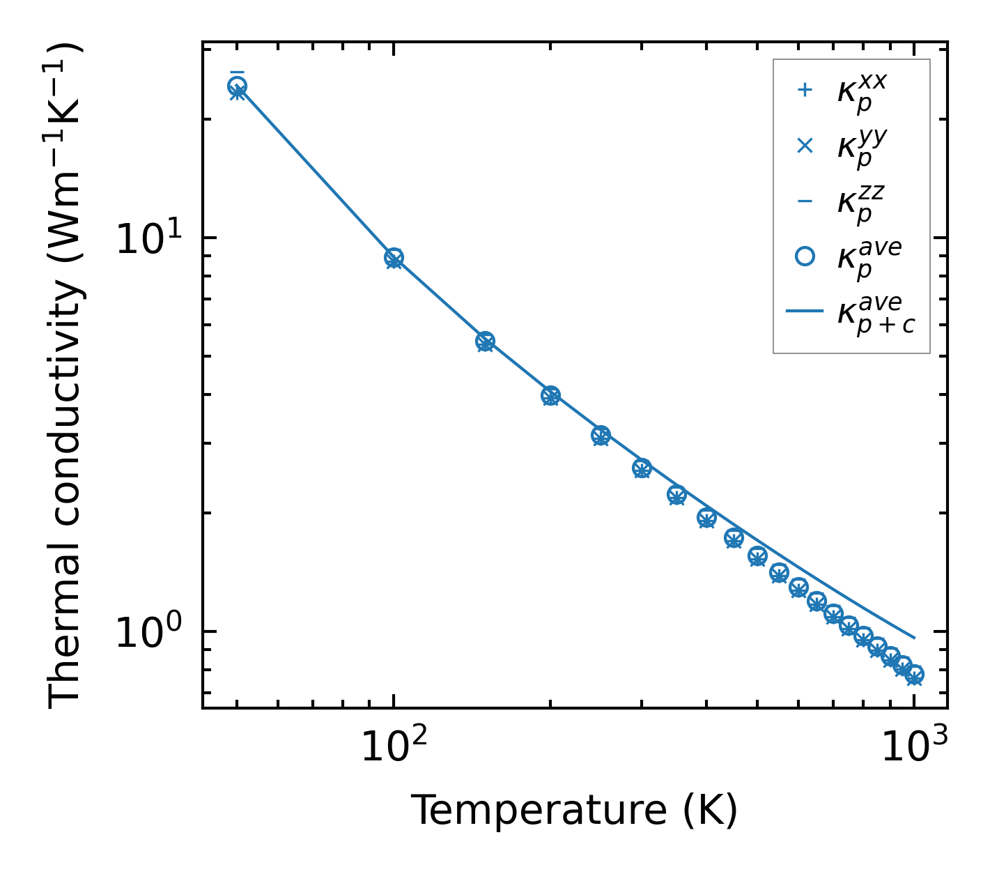
../../_images/fig_kappa2295.png

(a) Temperature-dependent lattice thermal conductivity

../../_images/fig_times3198.png

(b) Computation time