mp-8560-2/SF6/anharm

Equation of state

../../_images/fig_bm741.png

(a) Equation of state

Harmonic properties

../../_images/fig_bandos_pr1841.png

(a) Phonon dispersion with participation ratio and DOS

../../_images/fig_bandos1865.png

(b) Phonon dispersion and DOS

../../_images/fig_thermo1841.png

(c) Thermodynamic properties

Grüneisen parameters

../../_images/fig_gru_all1045.png

(a) Grüneisen parameters

../../_images/fig_gruneisen1045.png

(b) Phonon dispersion with Grüneisen parameters

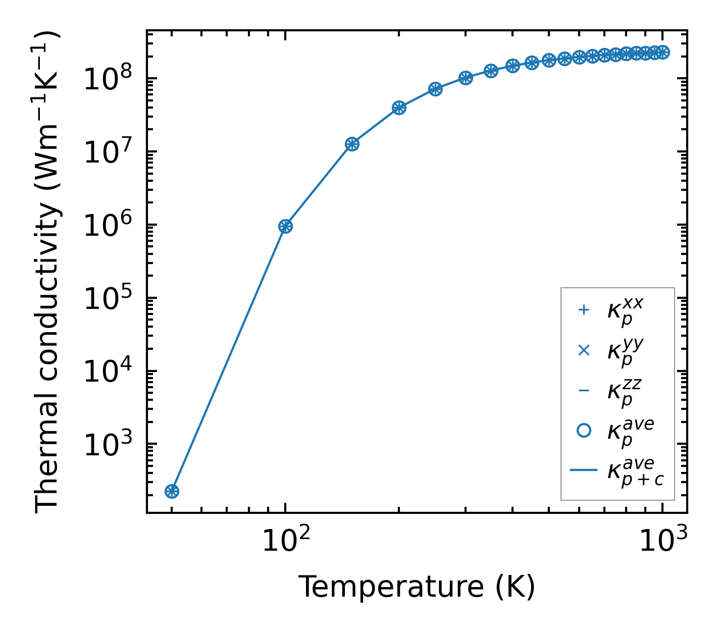
Thermal conductivity

3-phonon (LASSO), supercell 3x3x3 — q-mesh: 15x15x15, supercell: 3x3x3

../../_images/fig_kappa2024.png

(a) Temperature-dependent lattice thermal conductivity

../../_images/fig_kappa_vs_grain_size1057.png

(b) Peierls lattice thermal conductivity w.r.t grain size

Phonon lifetime and scattering rates

../../_images/fig_lifetime1037.png

(a) Phonon lifetime due to phonon-phonon scattering

../../_images/fig_scat_rates1036.png

(b) Phonon scattering rates

Cumulative and spectral thermal conductivity

../../_images/fig_cumu_frequency1037.png

(a) Spectral and cumulative thermal conductivity w.r.t frequency

../../_images/fig_cumu_mfp1037.png

(b) Spectral and cumulative thermal conductivity w.r.t MFP

Force constants

../../_images/fig_fc21664.png

(a) Force constants w.r.t atomic distance

Summary

../../_images/fig_times2818.png

(a) Computation time