mp-8147/K2As2Pd/anharm

Harmonic properties

../../_images/fig_bandos_pr2052.png

(a) Phonon dispersion with participation ratio and DOS

../../_images/fig_thermo2052.png

(b) Thermodynamic properties

Grüneisen parameters

../../_images/fig_gru_all1171.png

(a) Grüneisen parameters

../../_images/fig_gruneisen1171.png

(b) Phonon dispersion with Grüneisen parameters

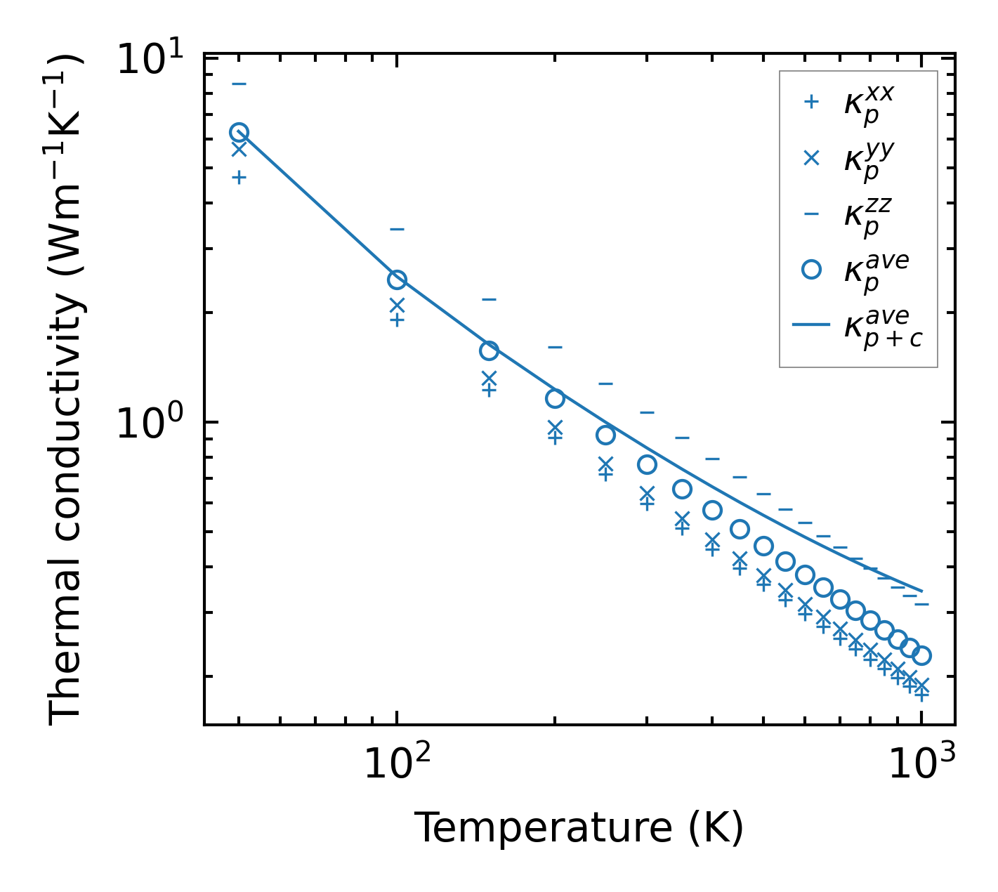
Thermal conductivity

3-phonon (LASSO) — q-mesh: 9x9x13, supercell: 2x1x3

../../_images/fig_kappa2256.png

(a) Temperature-dependent lattice thermal conductivity

../../_images/fig_kappa_vs_grain_size1185.png

(b) Peierls lattice thermal conductivity w.r.t grain size

Phonon lifetime and scattering rates

../../_images/fig_lifetime1161.png

(a) Phonon lifetime due to phonon-phonon scattering

../../_images/fig_scat_rates1160.png

(b) Phonon scattering rates

Cumulative and spectral thermal conductivity

../../_images/fig_cumu_frequency1161.png

(a) Spectral and cumulative thermal conductivity w.r.t frequency

../../_images/fig_cumu_mfp1161.png

(b) Spectral and cumulative thermal conductivity w.r.t MFP

Force constants

../../_images/fig_fc21873.png

(a) Force constants w.r.t atomic distance

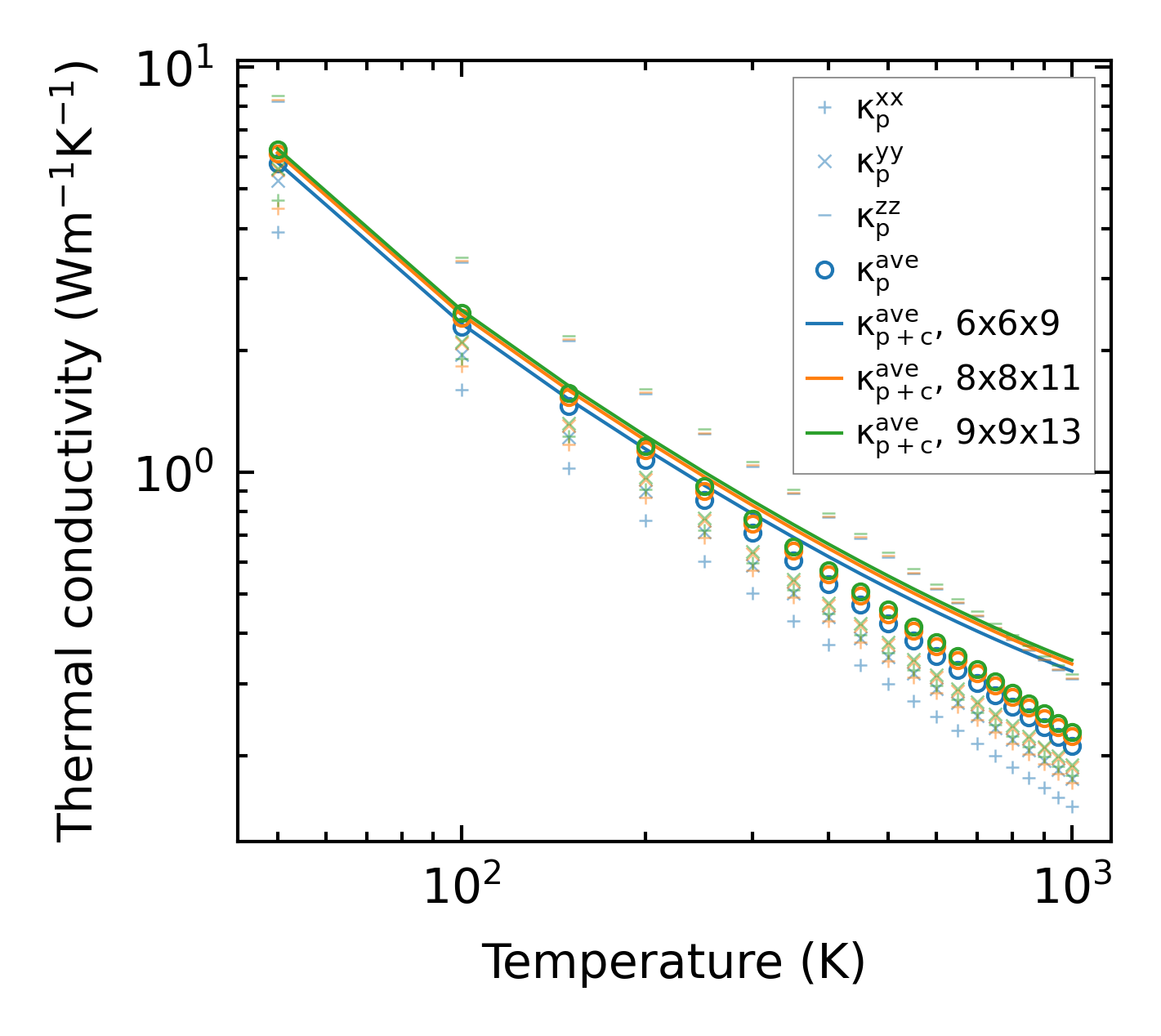
Summary

../../_images/fig_kappa2257.png

(a) Temperature-dependent lattice thermal conductivity

../../_images/fig_times3165.png

(b) Computation time