mp-8134-2/UO3/anharm

Equation of state

../../_images/fig_bm873.png

(a) Equation of state

Harmonic properties

../../_images/fig_bandos_pr2049.png

(a) Phonon dispersion with participation ratio and DOS

../../_images/fig_bandos2110.png

(b) Phonon dispersion and DOS

../../_images/fig_thermo2049.png

(c) Thermodynamic properties

Grüneisen parameters

../../_images/fig_gru_all1168.png

(a) Grüneisen parameters

../../_images/fig_gruneisen1168.png

(b) Phonon dispersion with Grüneisen parameters

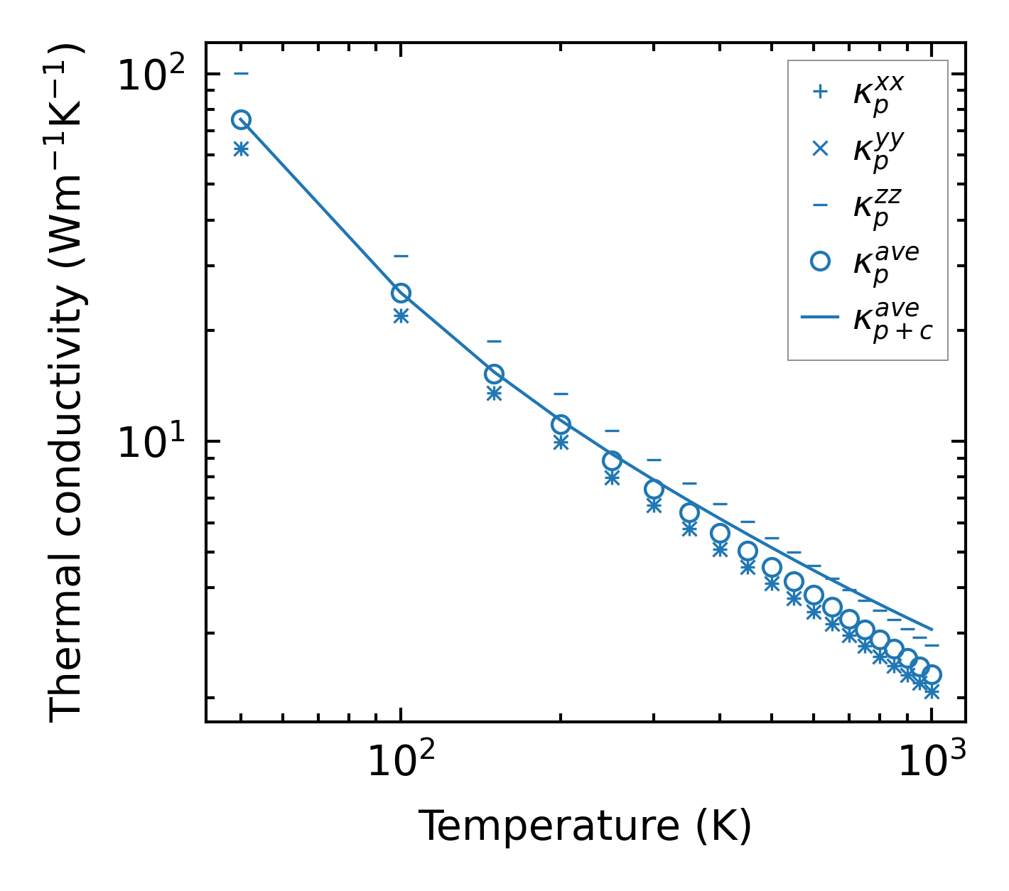
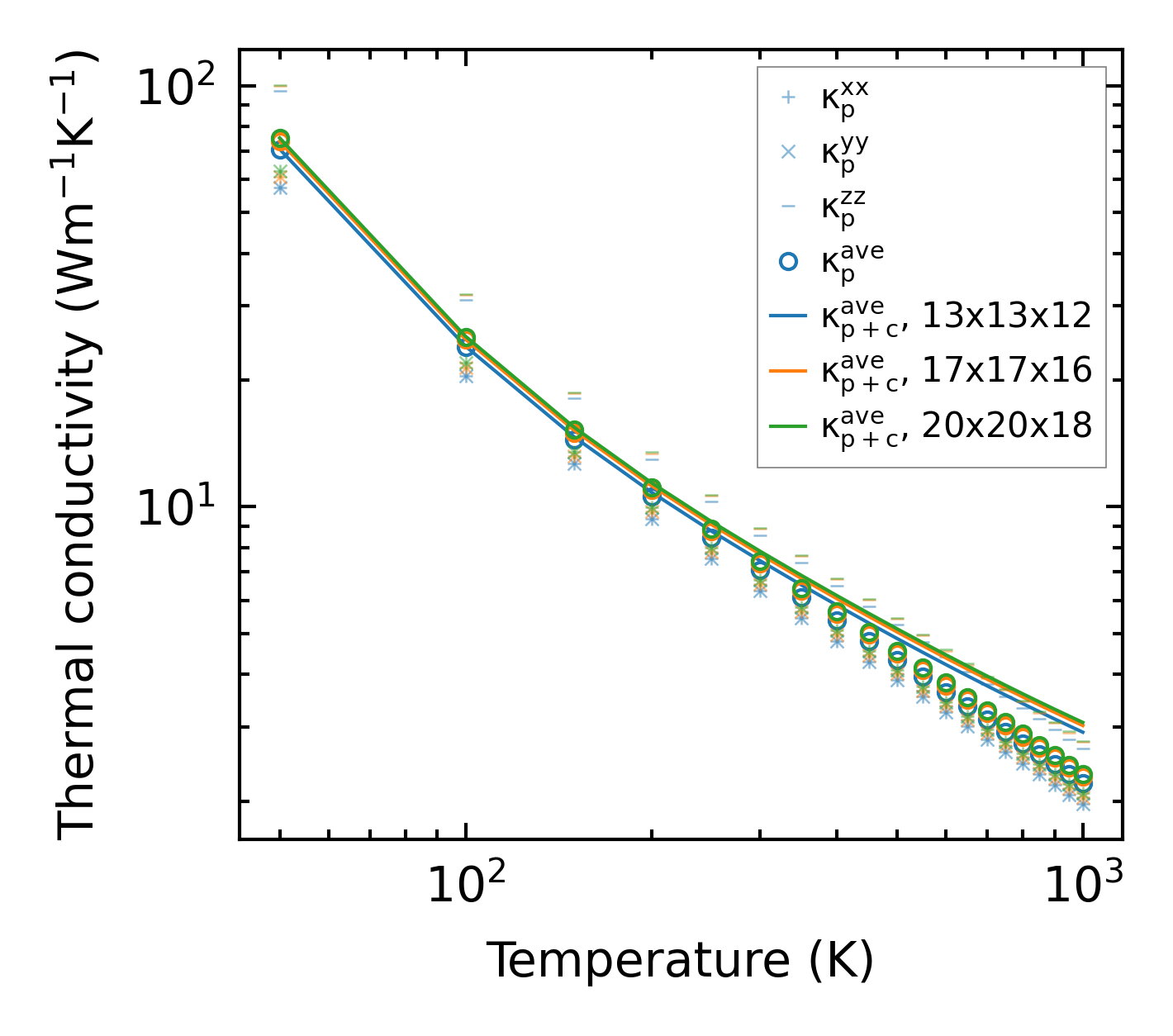
Thermal conductivity

3-phonon (LASSO) — q-mesh: 20x20x18, supercell: 3x3x3

../../_images/fig_kappa2250.png

(a) Temperature-dependent lattice thermal conductivity

../../_images/fig_kappa_vs_grain_size1182.png

(b) Peierls lattice thermal conductivity w.r.t grain size

Phonon lifetime and scattering rates

../../_images/fig_lifetime1158.png

(a) Phonon lifetime due to phonon-phonon scattering

../../_images/fig_scat_rates1157.png

(b) Phonon scattering rates

Cumulative and spectral thermal conductivity

../../_images/fig_cumu_frequency1158.png

(a) Spectral and cumulative thermal conductivity w.r.t frequency

../../_images/fig_cumu_mfp1158.png

(b) Spectral and cumulative thermal conductivity w.r.t MFP

Force constants

../../_images/fig_fc21870.png

(a) Force constants w.r.t atomic distance

Summary

../../_images/fig_kappa2251.png

(a) Temperature-dependent lattice thermal conductivity

../../_images/fig_times3159.png

(b) Computation time