mp-8724-2/K2TeO3/anharm

Harmonic properties

../../_images/fig_bandos_pr1903.png

(a) Phonon dispersion with participation ratio and DOS

../../_images/fig_thermo1903.png

(b) Thermodynamic properties

Grüneisen parameters

../../_images/fig_gru_all1082.png

(a) Grüneisen parameters

../../_images/fig_gruneisen1082.png

(b) Phonon dispersion with Grüneisen parameters

Thermal conductivity

3-phonon (LASSO) — q-mesh: 12x12x10, supercell: 2x2x2

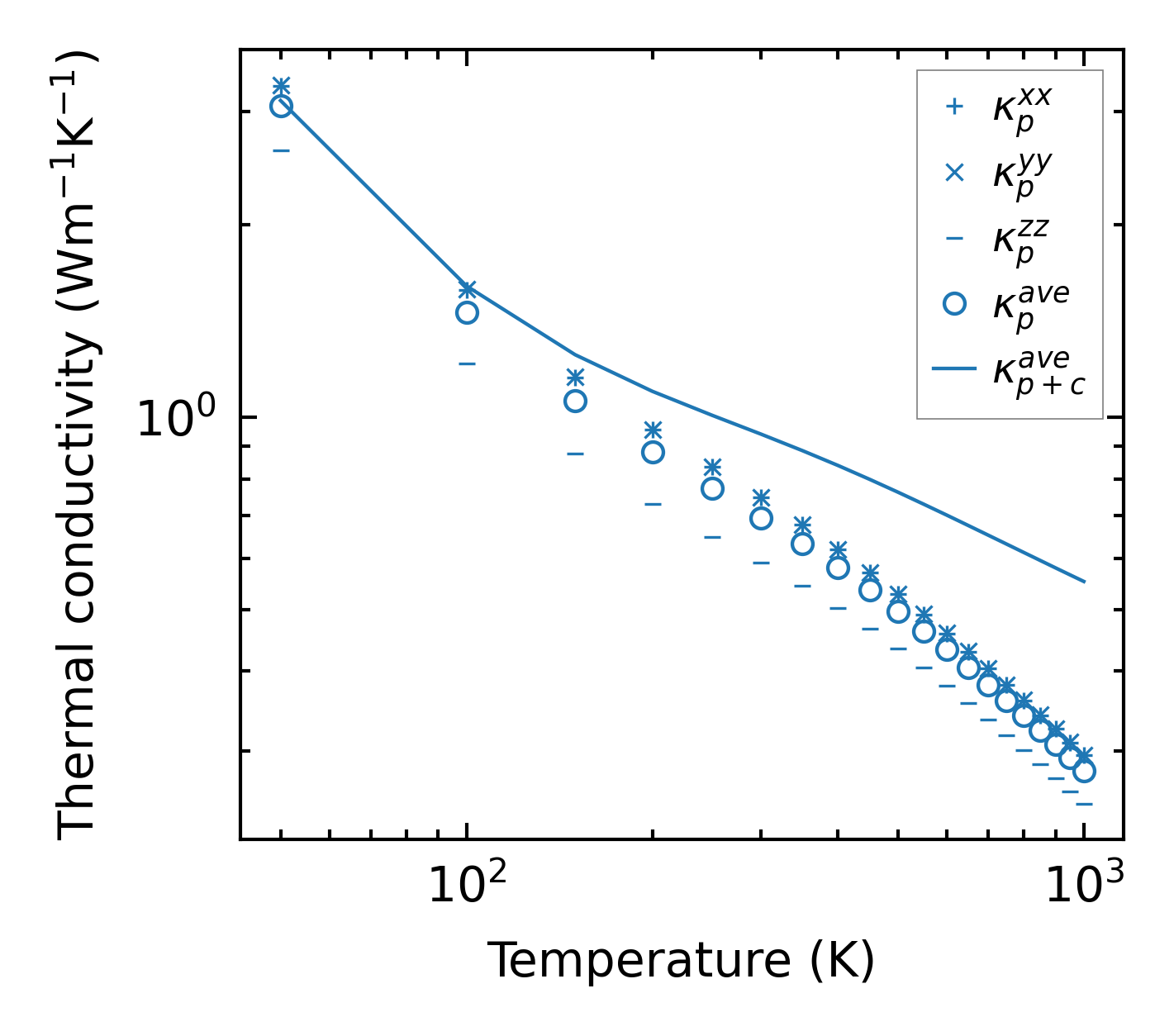
../../_images/fig_kappa2087.png

(a) Temperature-dependent lattice thermal conductivity

../../_images/fig_kappa_vs_grain_size1093.png

(b) Peierls lattice thermal conductivity w.r.t grain size

Phonon lifetime and scattering rates

../../_images/fig_lifetime1073.png

(a) Phonon lifetime due to phonon-phonon scattering

../../_images/fig_scat_rates1072.png

(b) Phonon scattering rates

Cumulative and spectral thermal conductivity

../../_images/fig_cumu_frequency1073.png

(a) Spectral and cumulative thermal conductivity w.r.t frequency

../../_images/fig_cumu_mfp1073.png

(b) Spectral and cumulative thermal conductivity w.r.t MFP

Force constants

../../_images/fig_fc21726.png

(a) Force constants w.r.t atomic distance

Summary

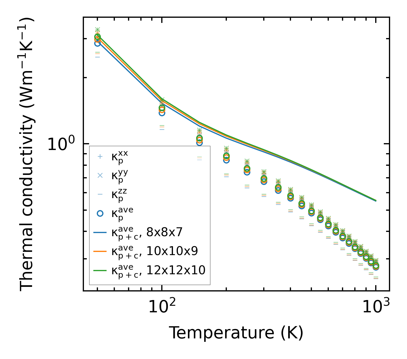
../../_images/fig_kappa2088.png

(a) Temperature-dependent lattice thermal conductivity

../../_images/fig_times2894.png

(b) Computation time