mp-8543/Na3AlAs2/anharm

Harmonic properties

../../_images/fig_bandos_pr1839.png

(a) Phonon dispersion with participation ratio and DOS

../../_images/fig_thermo1839.png

(b) Thermodynamic properties

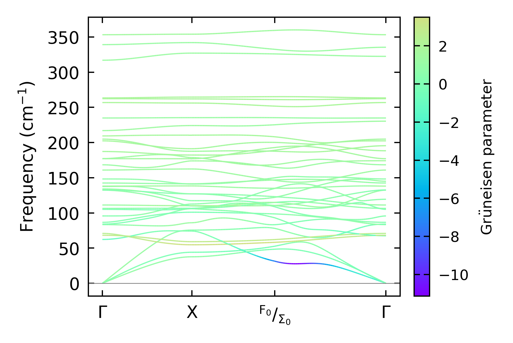
Grüneisen parameters

../../_images/fig_gru_all1044.png

(a) Grüneisen parameters

../../_images/fig_gruneisen1044.png

(b) Phonon dispersion with Grüneisen parameters

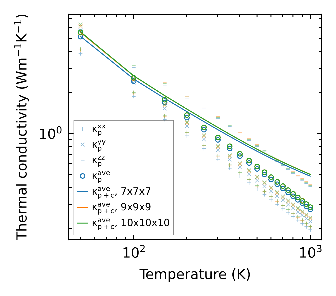
Thermal conductivity

3-phonon (LASSO) — q-mesh: 10x10x10, supercell: 2x1x3

../../_images/fig_kappa2022.png

(a) Temperature-dependent lattice thermal conductivity

../../_images/fig_kappa_vs_grain_size1056.png

(b) Peierls lattice thermal conductivity w.r.t grain size

Phonon lifetime and scattering rates

../../_images/fig_lifetime1036.png

(a) Phonon lifetime due to phonon-phonon scattering

../../_images/fig_scat_rates1035.png

(b) Phonon scattering rates

Cumulative and spectral thermal conductivity

../../_images/fig_cumu_frequency1036.png

(a) Spectral and cumulative thermal conductivity w.r.t frequency

../../_images/fig_cumu_mfp1036.png

(b) Spectral and cumulative thermal conductivity w.r.t MFP

Force constants

../../_images/fig_fc21662.png

(a) Force constants w.r.t atomic distance

Summary

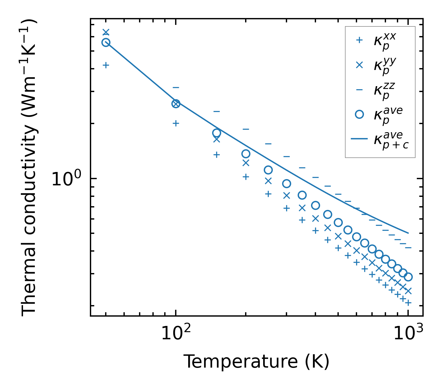
../../_images/fig_kappa2023.png

(a) Temperature-dependent lattice thermal conductivity

../../_images/fig_times2816.png

(b) Computation time