mp-8430/KLiS/anharm

Harmonic properties

../../_images/fig_bandos_pr1819.png

(a) Phonon dispersion with participation ratio and DOS

../../_images/fig_thermo1819.png

(b) Thermodynamic properties

Grüneisen parameters

../../_images/fig_gru_all1033.png

(a) Grüneisen parameters

../../_images/fig_gruneisen1033.png

(b) Phonon dispersion with Grüneisen parameters

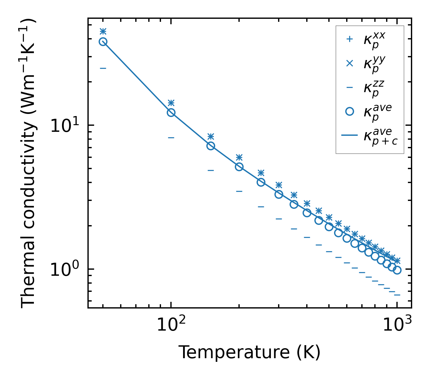
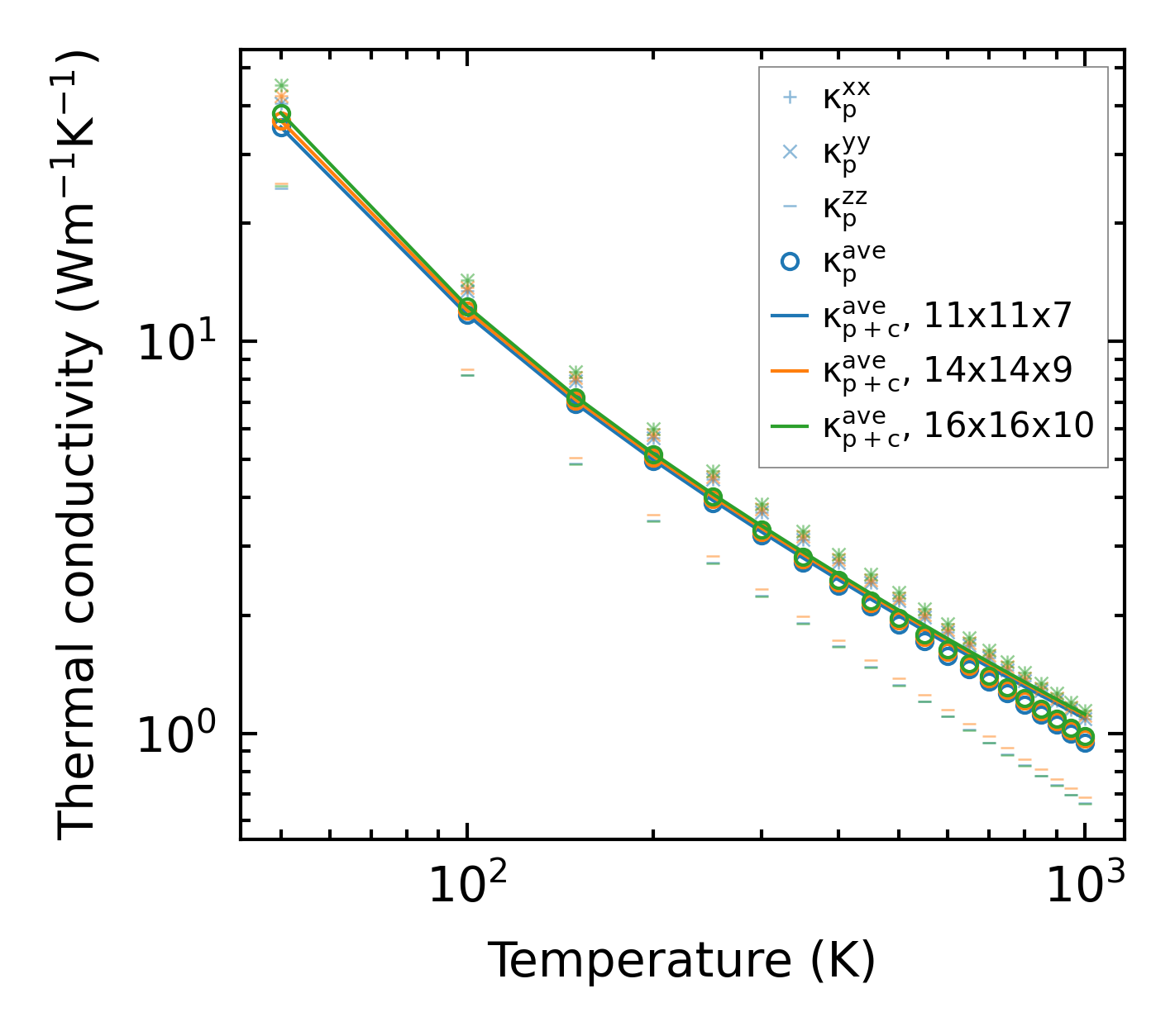
Thermal conductivity

3-phonon (LASSO) — q-mesh: 16x16x10, supercell: 3x3x2

../../_images/fig_kappa1999.png

(a) Temperature-dependent lattice thermal conductivity

../../_images/fig_kappa_vs_grain_size1044.png

(b) Peierls lattice thermal conductivity w.r.t grain size

Phonon lifetime and scattering rates

../../_images/fig_lifetime1025.png

(a) Phonon lifetime due to phonon-phonon scattering

../../_images/fig_scat_rates1024.png

(b) Phonon scattering rates

Cumulative and spectral thermal conductivity

../../_images/fig_cumu_frequency1025.png

(a) Spectral and cumulative thermal conductivity w.r.t frequency

../../_images/fig_cumu_mfp1025.png

(b) Spectral and cumulative thermal conductivity w.r.t MFP

Force constants

../../_images/fig_fc21644.png

(a) Force constants w.r.t atomic distance

Summary

../../_images/fig_kappa2000.png

(a) Temperature-dependent lattice thermal conductivity

../../_images/fig_times2785.png

(b) Computation time