mp-8781-2/SnS/harm

Equation of state

../../_images/fig_bm781.png

(a) Equation of state

Harmonic properties

../../_images/fig_bandos_pr1918.png

(a) Phonon dispersion with participation ratio and DOS

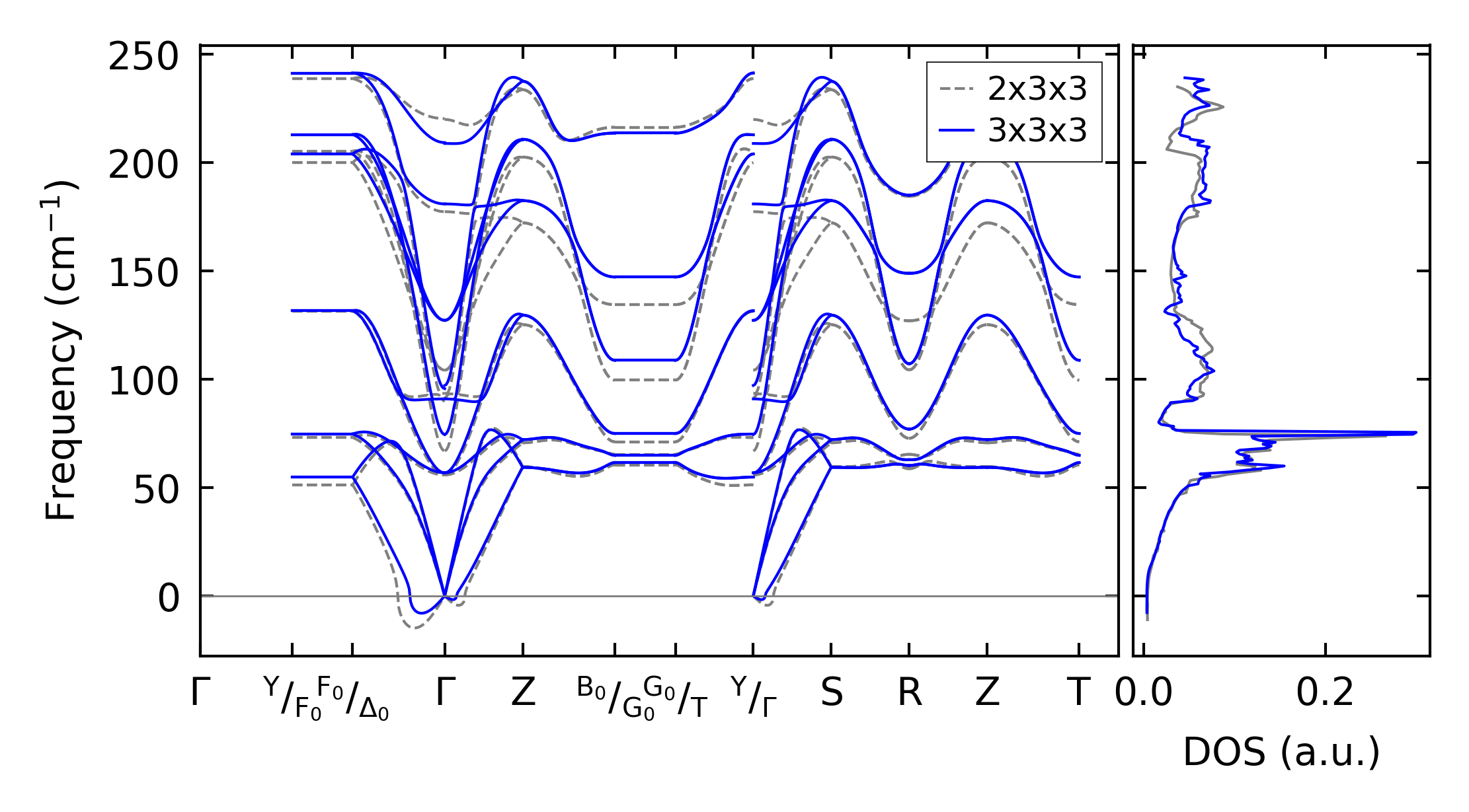
../../_images/fig_bandos1924.png

(b) Phonon dispersion and DOS

../../_images/fig_thermo1918.png

(c) Thermodynamic properties

Force constants

../../_images/fig_fc21741.png

(a) Force constants w.r.t atomic distance

Summary

../../_images/fig_times2914.png

(a) Computation time