mp-8204-2/LiAlB14/anharm

Equation of state

../../_images/fig_bm888.png

(a) Equation of state

Harmonic properties

../../_images/fig_bandos_pr2082.png

(a) Phonon dispersion with participation ratio and DOS

../../_images/fig_thermo2082.png

(b) Thermodynamic properties

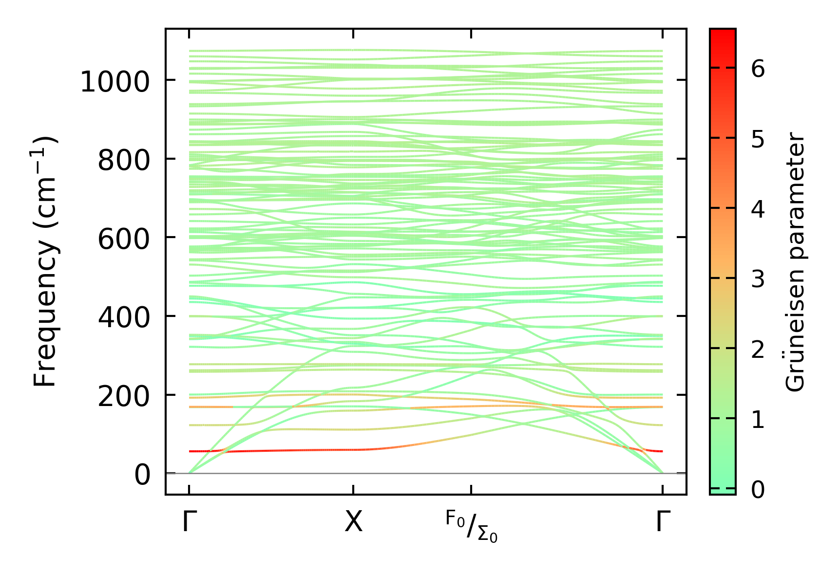
Grüneisen parameters

../../_images/fig_gru_all1191.png

(a) Grüneisen parameters

../../_images/fig_gruneisen1191.png

(b) Phonon dispersion with Grüneisen parameters

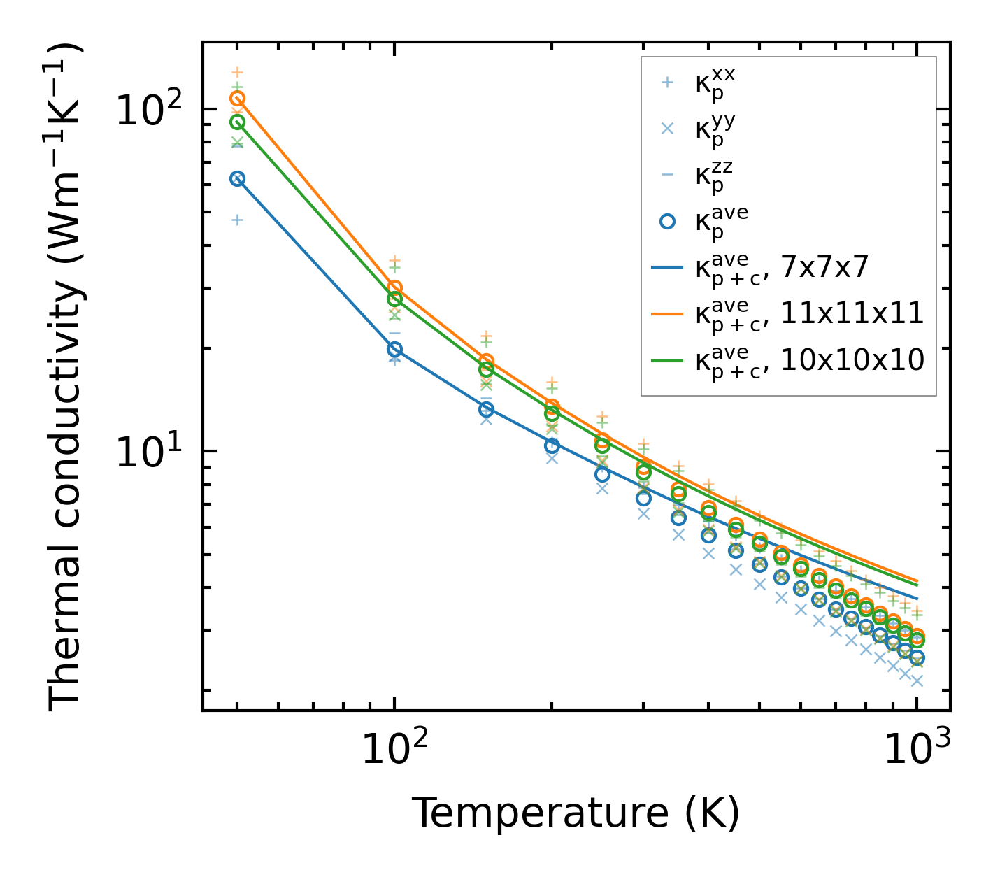
Thermal conductivity

3-phonon (LASSO) — q-mesh: 11x11x11, supercell: 2x1x1

../../_images/fig_kappa2296.png

(a) Temperature-dependent lattice thermal conductivity

../../_images/fig_kappa_vs_grain_size1205.png

(b) Peierls lattice thermal conductivity w.r.t grain size

Phonon lifetime and scattering rates

../../_images/fig_lifetime1181.png

(a) Phonon lifetime due to phonon-phonon scattering

../../_images/fig_scat_rates1180.png

(b) Phonon scattering rates

Cumulative and spectral thermal conductivity

../../_images/fig_cumu_frequency1181.png

(a) Spectral and cumulative thermal conductivity w.r.t frequency

../../_images/fig_cumu_mfp1181.png

(b) Spectral and cumulative thermal conductivity w.r.t MFP

Force constants

../../_images/fig_fc21903.png

(a) Force constants w.r.t atomic distance

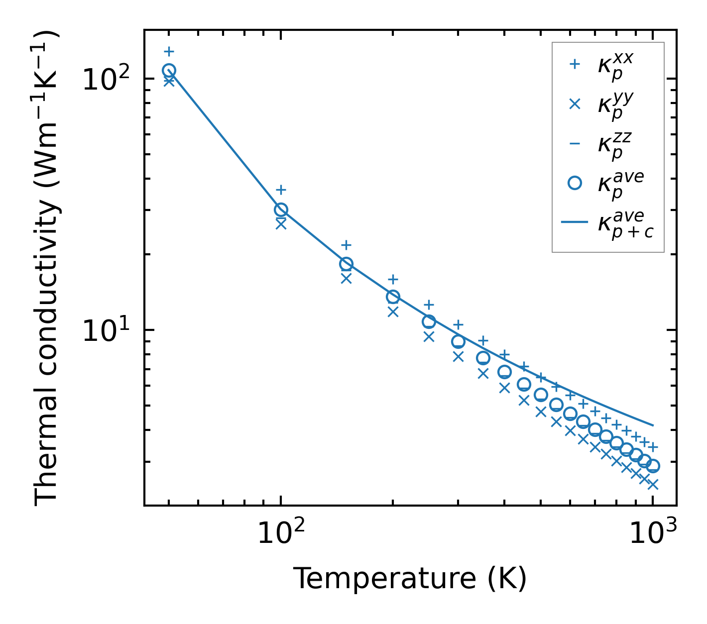
Summary

../../_images/fig_kappa2297.png

(a) Temperature-dependent lattice thermal conductivity

../../_images/fig_times3200.png

(b) Computation time