mp-8234-2/BaTe3/anharm

Equation of state

../../_images/fig_bm894.png

(a) Equation of state

Harmonic properties

../../_images/fig_bandos_pr2097.png

(a) Phonon dispersion with participation ratio and DOS

../../_images/fig_bandos2137.png

(b) Phonon dispersion and DOS

../../_images/fig_thermo2097.png

(c) Thermodynamic properties

Grüneisen parameters

../../_images/fig_gru_all1202.png

(a) Grüneisen parameters

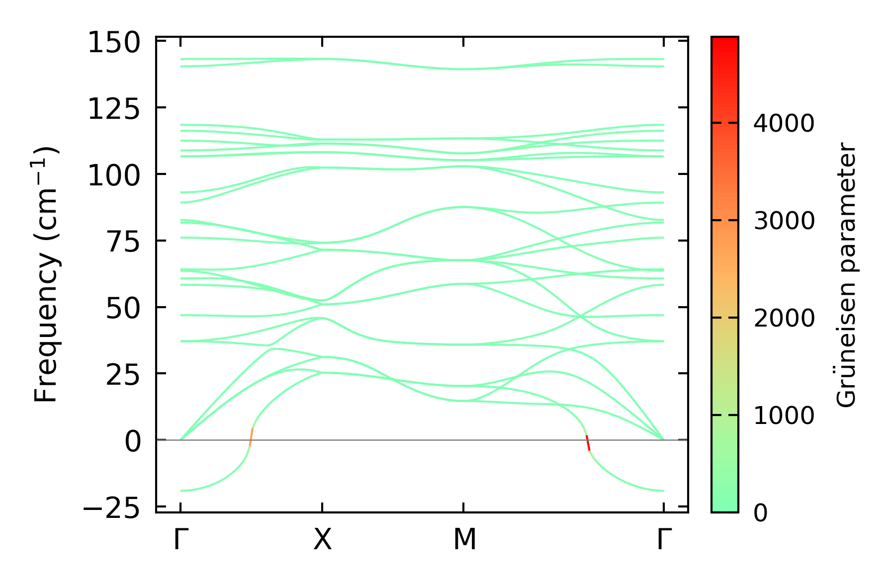
../../_images/fig_gruneisen1202.png

(b) Phonon dispersion with Grüneisen parameters

Thermal conductivity

3-phonon (LASSO), supercell 3x3x4 — q-mesh: 9x9x16, supercell: 3x3x4

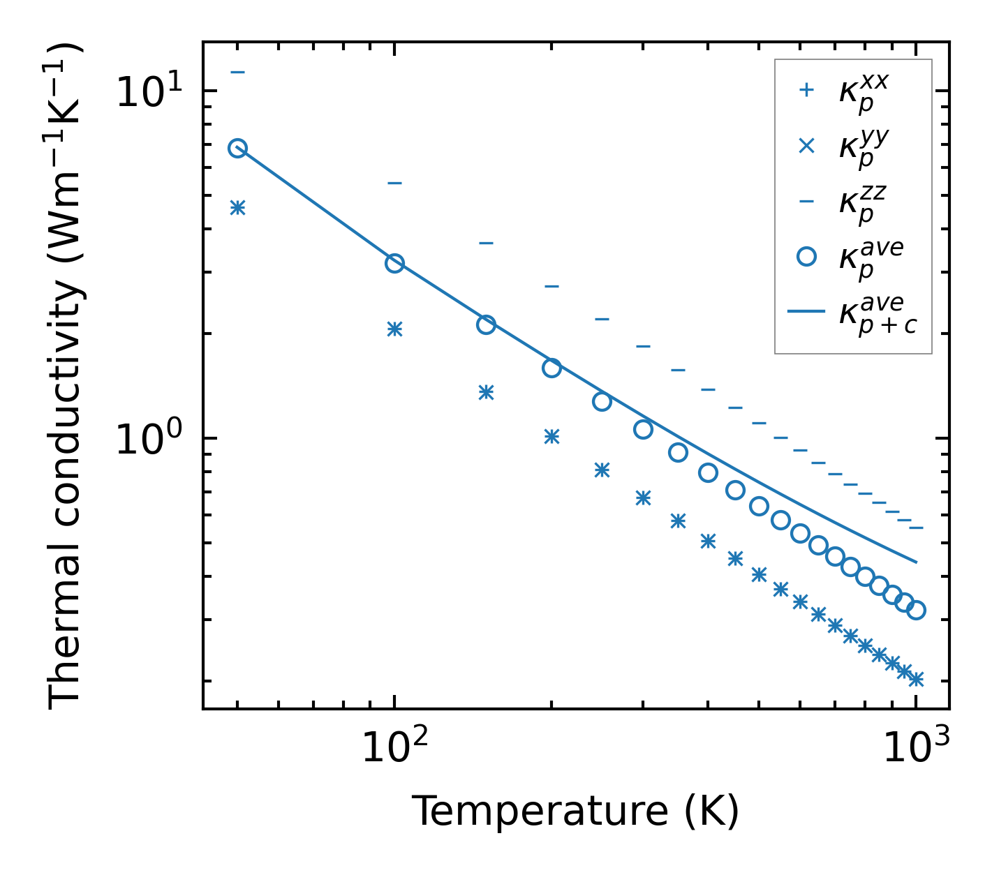
../../_images/fig_kappa2318.png

(a) Temperature-dependent lattice thermal conductivity

../../_images/fig_kappa_vs_grain_size1216.png

(b) Peierls lattice thermal conductivity w.r.t grain size

Phonon lifetime and scattering rates

../../_images/fig_lifetime1192.png

(a) Phonon lifetime due to phonon-phonon scattering

../../_images/fig_scat_rates1191.png

(b) Phonon scattering rates

Cumulative and spectral thermal conductivity

../../_images/fig_cumu_frequency1192.png

(a) Spectral and cumulative thermal conductivity w.r.t frequency

../../_images/fig_cumu_mfp1192.png

(b) Spectral and cumulative thermal conductivity w.r.t MFP

Force constants

../../_images/fig_fc21918.png

(a) Force constants w.r.t atomic distance

Summary

../../_images/fig_times3217.png

(a) Computation time