mp-8630-2/SbIrS/anharm

Harmonic properties

../../_images/fig_bandos_pr1865.png

(a) Phonon dispersion with participation ratio and DOS

../../_images/fig_thermo1865.png

(b) Thermodynamic properties

Grüneisen parameters

../../_images/fig_gru_all1065.png

(a) Grüneisen parameters

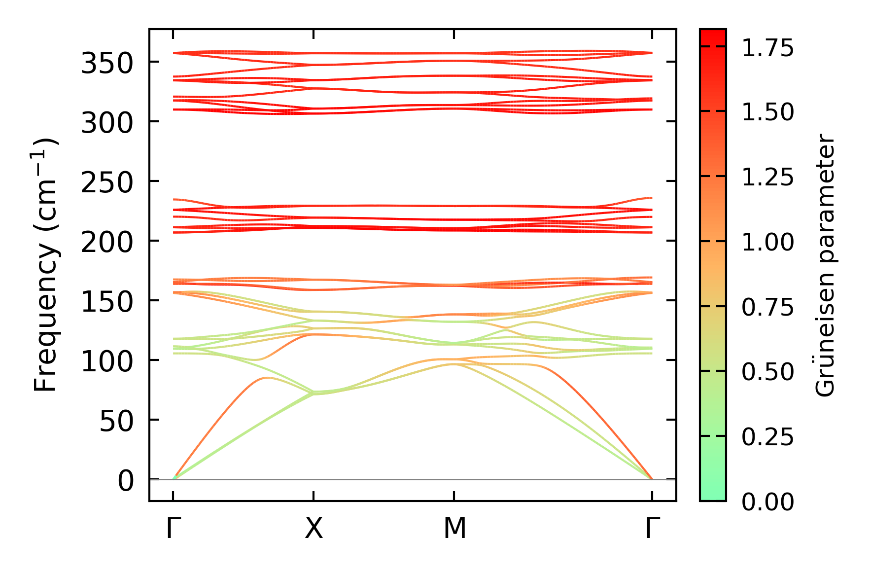
../../_images/fig_gruneisen1065.png

(b) Phonon dispersion with Grüneisen parameters

Thermal conductivity

3-phonon (LASSO) — q-mesh: 11x11x11, supercell: 2x2x2

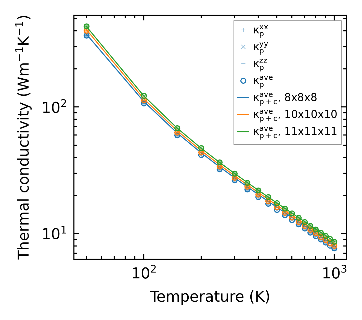
../../_images/fig_kappa2055.png

(a) Temperature-dependent lattice thermal conductivity

../../_images/fig_kappa_vs_grain_size1076.png

(b) Peierls lattice thermal conductivity w.r.t grain size

Phonon lifetime and scattering rates

../../_images/fig_lifetime1056.png

(a) Phonon lifetime due to phonon-phonon scattering

../../_images/fig_scat_rates1055.png

(b) Phonon scattering rates

Cumulative and spectral thermal conductivity

../../_images/fig_cumu_frequency1056.png

(a) Spectral and cumulative thermal conductivity w.r.t frequency

../../_images/fig_cumu_mfp1056.png

(b) Spectral and cumulative thermal conductivity w.r.t MFP

Force constants

../../_images/fig_fc21688.png

(a) Force constants w.r.t atomic distance

Summary

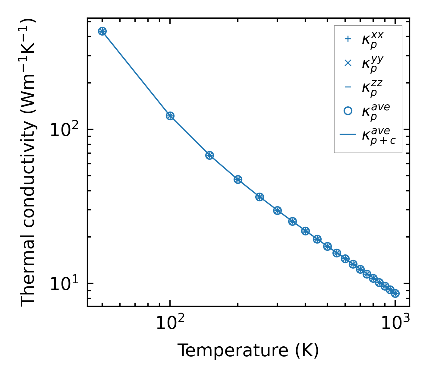
../../_images/fig_kappa2056.png

(a) Temperature-dependent lattice thermal conductivity

../../_images/fig_times2853.png

(b) Computation time