mp-8098/InGaO3/anharm

Harmonic properties

../../_images/fig_bandos_pr2041.png

(a) Phonon dispersion with participation ratio and DOS

../../_images/fig_thermo2041.png

(b) Thermodynamic properties

Grüneisen parameters

../../_images/fig_gru_all1162.png

(a) Grüneisen parameters

../../_images/fig_gruneisen1162.png

(b) Phonon dispersion with Grüneisen parameters

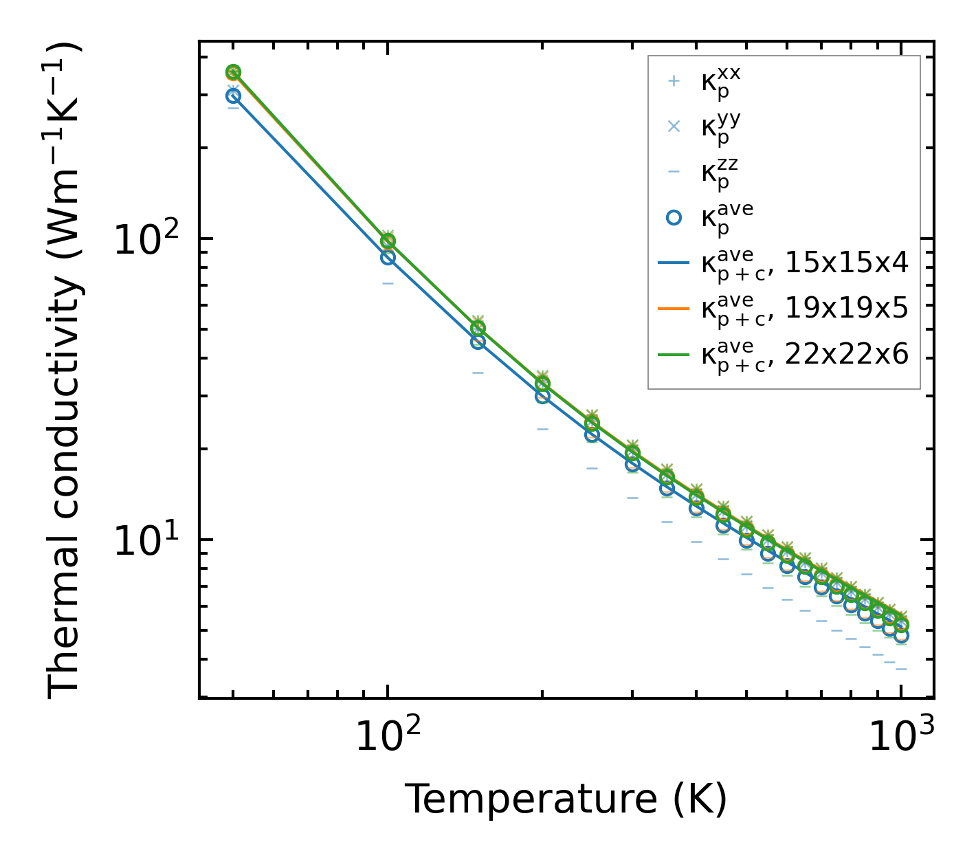
Thermal conductivity

3-phonon (LASSO) — q-mesh: 22x22x6, supercell: 3x3x1

../../_images/fig_kappa2238.png

(a) Temperature-dependent lattice thermal conductivity

../../_images/fig_kappa_vs_grain_size1176.png

(b) Peierls lattice thermal conductivity w.r.t grain size

Phonon lifetime and scattering rates

../../_images/fig_lifetime1152.png

(a) Phonon lifetime due to phonon-phonon scattering

../../_images/fig_scat_rates1151.png

(b) Phonon scattering rates

Cumulative and spectral thermal conductivity

../../_images/fig_cumu_frequency1152.png

(a) Spectral and cumulative thermal conductivity w.r.t frequency

../../_images/fig_cumu_mfp1152.png

(b) Spectral and cumulative thermal conductivity w.r.t MFP

Force constants

../../_images/fig_fc21862.png

(a) Force constants w.r.t atomic distance

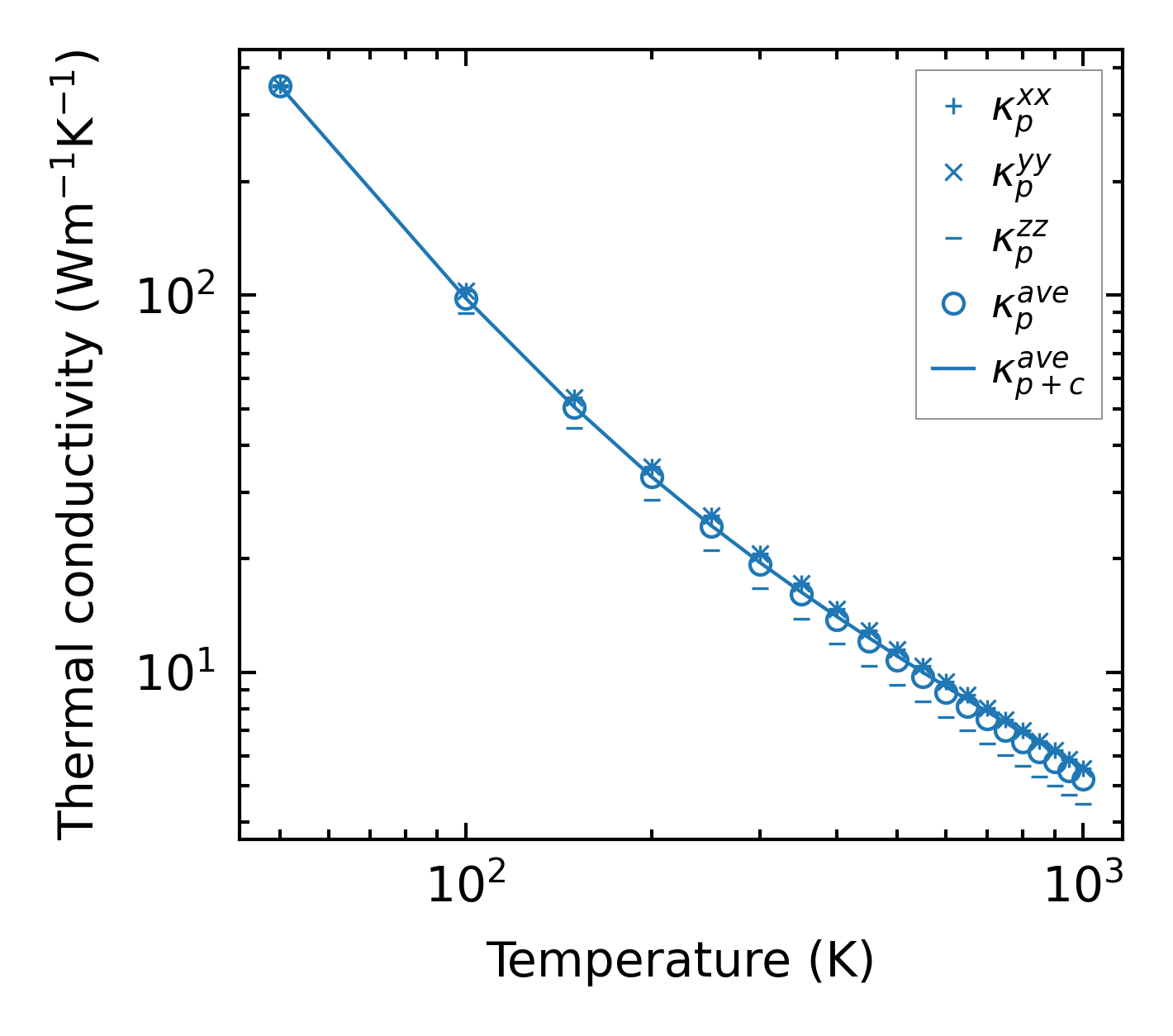
Summary

../../_images/fig_kappa2239.png

(a) Temperature-dependent lattice thermal conductivity

../../_images/fig_times3149.png

(b) Computation time