mp-8086-2/Na2Zn2O3/anharm

Harmonic properties

../../_images/fig_bandos2105.png

(a) Phonon dispersion and DOS

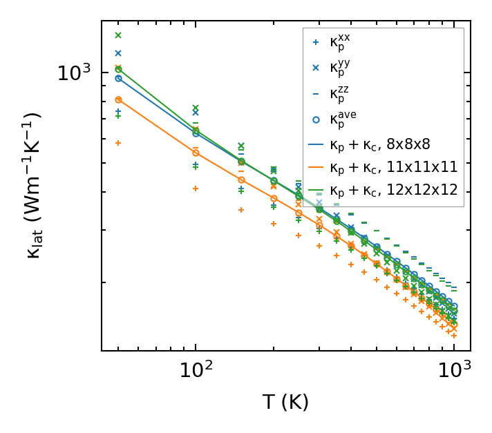
Thermal conductivity

Summary

../../_images/fig_kappa2237.png

(a) Temperature-dependent lattice thermal conductivity

../../_images/fig_times3148.png

(b) Computation time