mp-8724/K2TeO3/anharm

Equation of state

../../_images/fig_bm774.png

(a) Equation of state

Harmonic properties

../../_images/fig_bandos_pr1902.png

(a) Phonon dispersion with participation ratio and DOS

../../_images/fig_thermo1902.png

(b) Thermodynamic properties

Grüneisen parameters

../../_images/fig_gru_all1081.png

(a) Grüneisen parameters

../../_images/fig_gruneisen1081.png

(b) Phonon dispersion with Grüneisen parameters

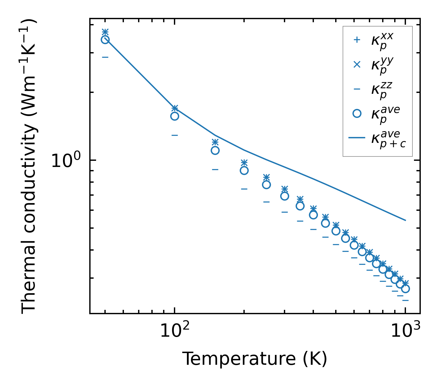
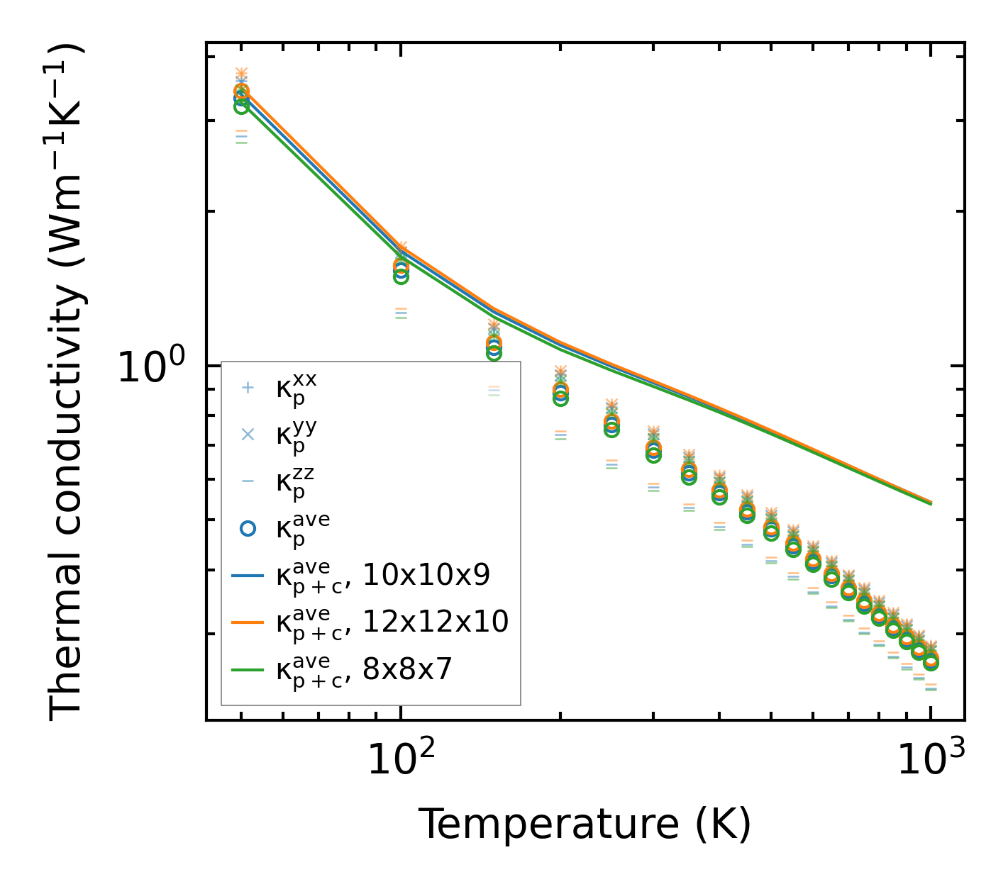
Thermal conductivity

3-phonon (LASSO) — q-mesh: 12x12x10, supercell: 2x2x2

../../_images/fig_kappa2085.png

(a) Temperature-dependent lattice thermal conductivity

../../_images/fig_kappa_vs_grain_size1092.png

(b) Peierls lattice thermal conductivity w.r.t grain size

Phonon lifetime and scattering rates

../../_images/fig_lifetime1072.png

(a) Phonon lifetime due to phonon-phonon scattering

../../_images/fig_scat_rates1071.png

(b) Phonon scattering rates

Cumulative and spectral thermal conductivity

../../_images/fig_cumu_frequency1072.png

(a) Spectral and cumulative thermal conductivity w.r.t frequency

../../_images/fig_cumu_mfp1072.png

(b) Spectral and cumulative thermal conductivity w.r.t MFP

Force constants

../../_images/fig_fc21725.png

(a) Force constants w.r.t atomic distance

Summary

../../_images/fig_kappa2086.png

(a) Temperature-dependent lattice thermal conductivity

../../_images/fig_times2893.png

(b) Computation time