mp-8615/NbBO4/anharm

Equation of state

../../_images/fig_bm752.png

(a) Equation of state

Harmonic properties

../../_images/fig_bandos_pr1855.png

(a) Phonon dispersion with participation ratio and DOS

../../_images/fig_thermo1855.png

(b) Thermodynamic properties

Grüneisen parameters

../../_images/fig_gru_all1056.png

(a) Grüneisen parameters

../../_images/fig_gruneisen1056.png

(b) Phonon dispersion with Grüneisen parameters

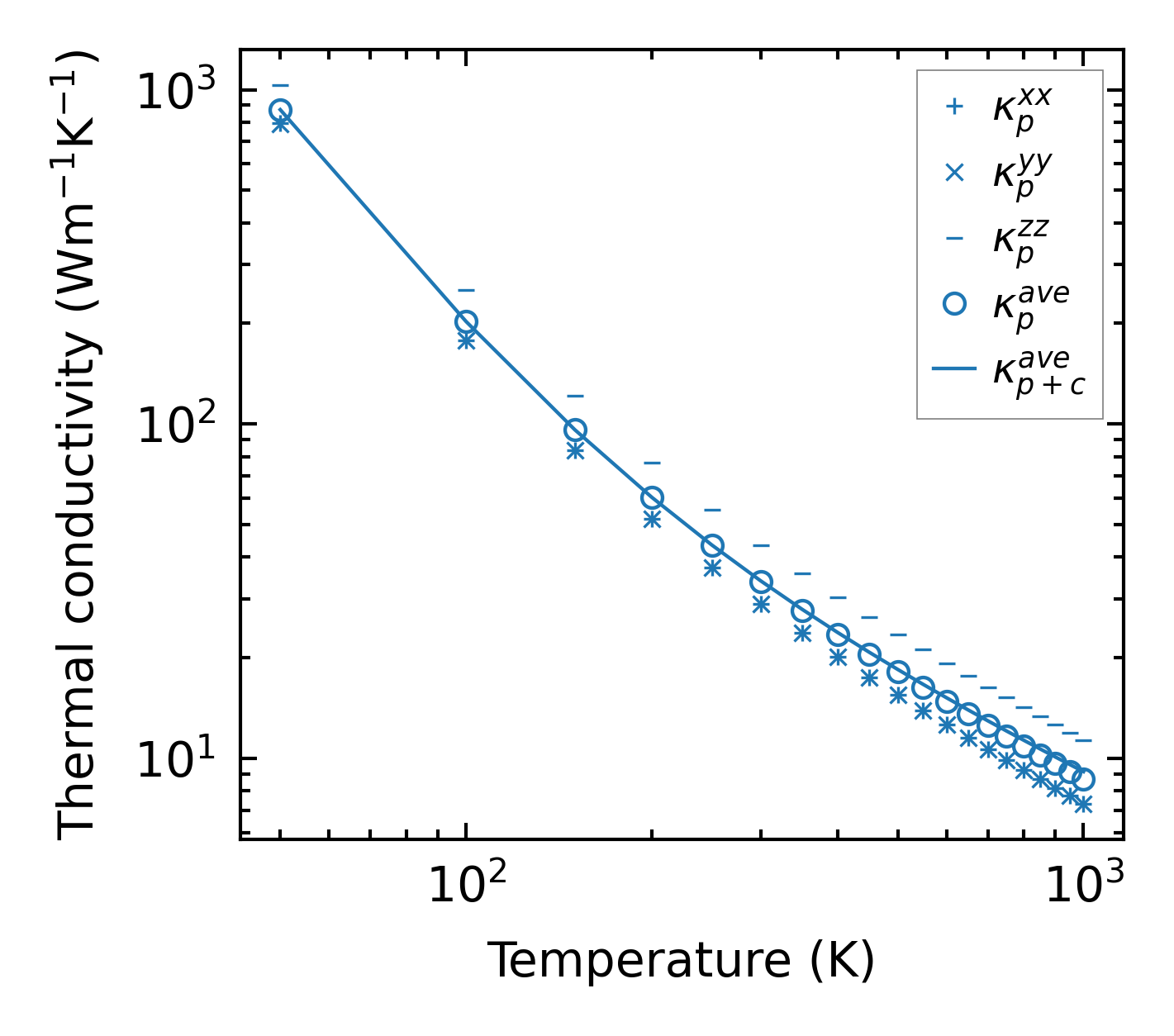
Thermal conductivity

3-phonon (LASSO) — q-mesh: 15x15x15, supercell: 1x1x2

../../_images/fig_kappa2041.png

(a) Temperature-dependent lattice thermal conductivity

../../_images/fig_kappa_vs_grain_size1067.png

(b) Peierls lattice thermal conductivity w.r.t grain size

Phonon lifetime and scattering rates

../../_images/fig_lifetime1047.png

(a) Phonon lifetime due to phonon-phonon scattering

../../_images/fig_scat_rates1046.png

(b) Phonon scattering rates

Cumulative and spectral thermal conductivity

../../_images/fig_cumu_frequency1047.png

(a) Spectral and cumulative thermal conductivity w.r.t frequency

../../_images/fig_cumu_mfp1047.png

(b) Spectral and cumulative thermal conductivity w.r.t MFP

Force constants

../../_images/fig_fc21678.png

(a) Force constants w.r.t atomic distance

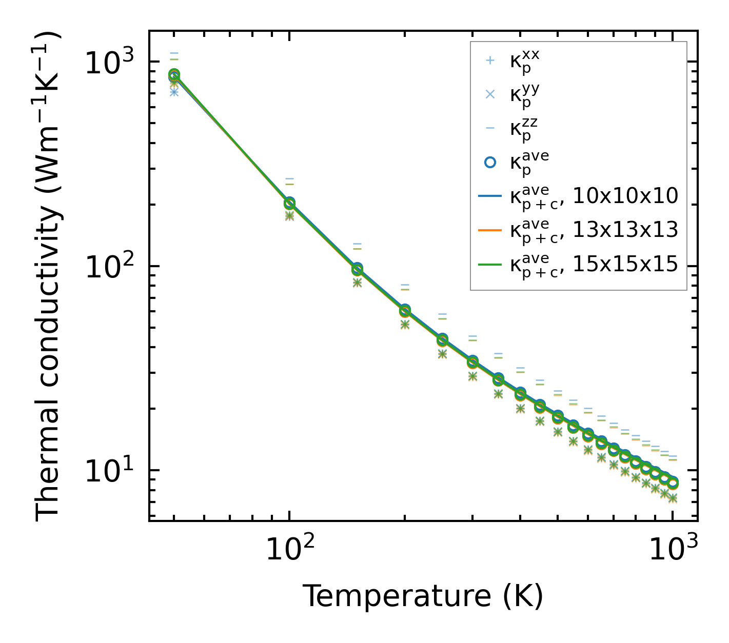
Summary

../../_images/fig_kappa2042.png

(a) Temperature-dependent lattice thermal conductivity

../../_images/fig_times2840.png

(b) Computation time