mp-8380/K2Si4O9/anharm

Harmonic properties

../../_images/fig_bandos_pr1802.png

(a) Phonon dispersion with participation ratio and DOS

../../_images/fig_thermo1802.png

(b) Thermodynamic properties

Grüneisen parameters

../../_images/fig_gru_all1019.png

(a) Grüneisen parameters

../../_images/fig_gruneisen1019.png

(b) Phonon dispersion with Grüneisen parameters

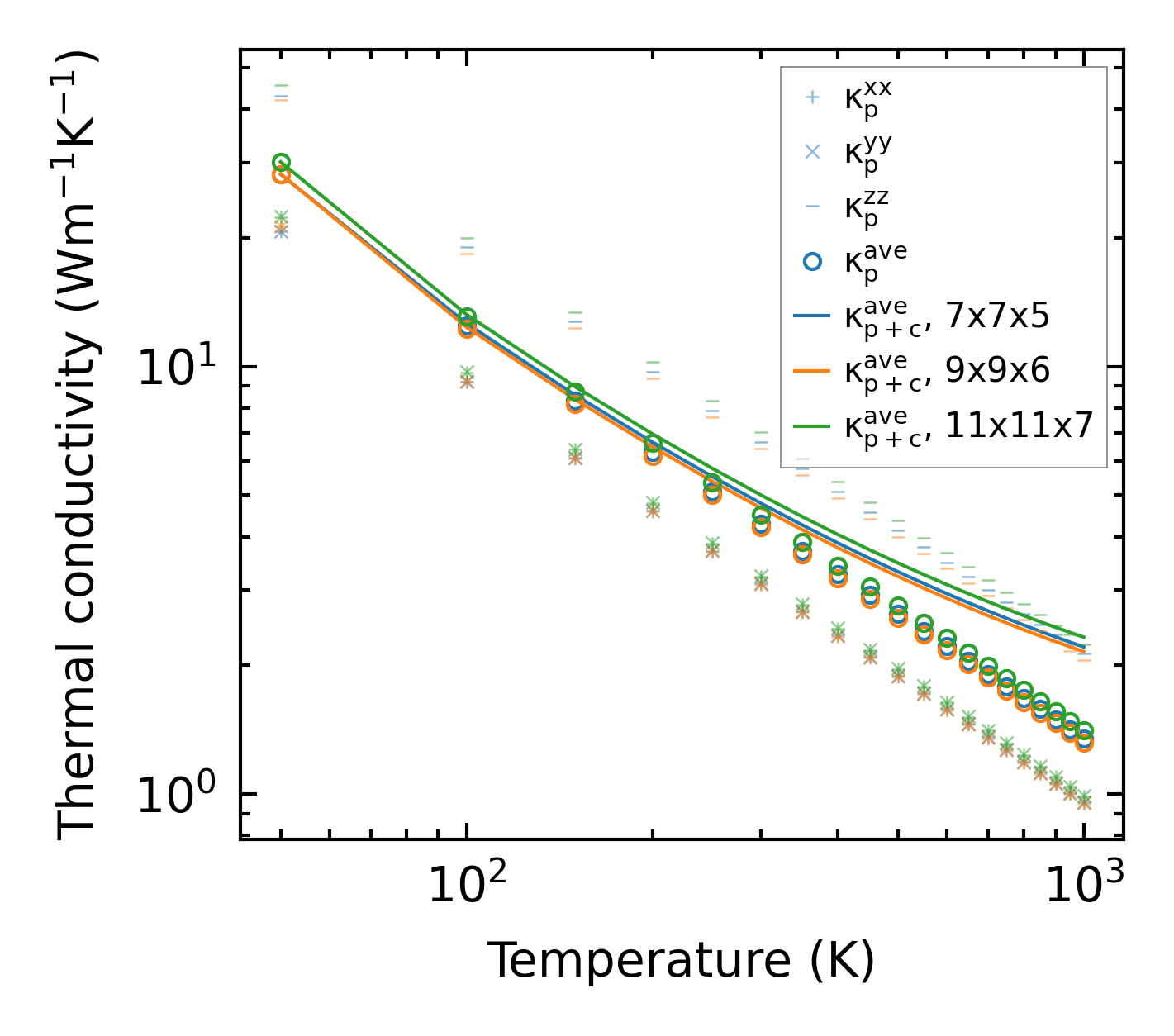
Thermal conductivity

3-phonon (LASSO) — q-mesh: 11x11x7, supercell: 2x2x1

../../_images/fig_kappa1972.png

(a) Temperature-dependent lattice thermal conductivity

../../_images/fig_kappa_vs_grain_size1030.png

(b) Peierls lattice thermal conductivity w.r.t grain size

Phonon lifetime and scattering rates

../../_images/fig_lifetime1011.png

(a) Phonon lifetime due to phonon-phonon scattering

../../_images/fig_scat_rates1010.png

(b) Phonon scattering rates

Cumulative and spectral thermal conductivity

../../_images/fig_cumu_frequency1011.png

(a) Spectral and cumulative thermal conductivity w.r.t frequency

../../_images/fig_cumu_mfp1011.png

(b) Spectral and cumulative thermal conductivity w.r.t MFP

Force constants

../../_images/fig_fc21631.png

(a) Force constants w.r.t atomic distance

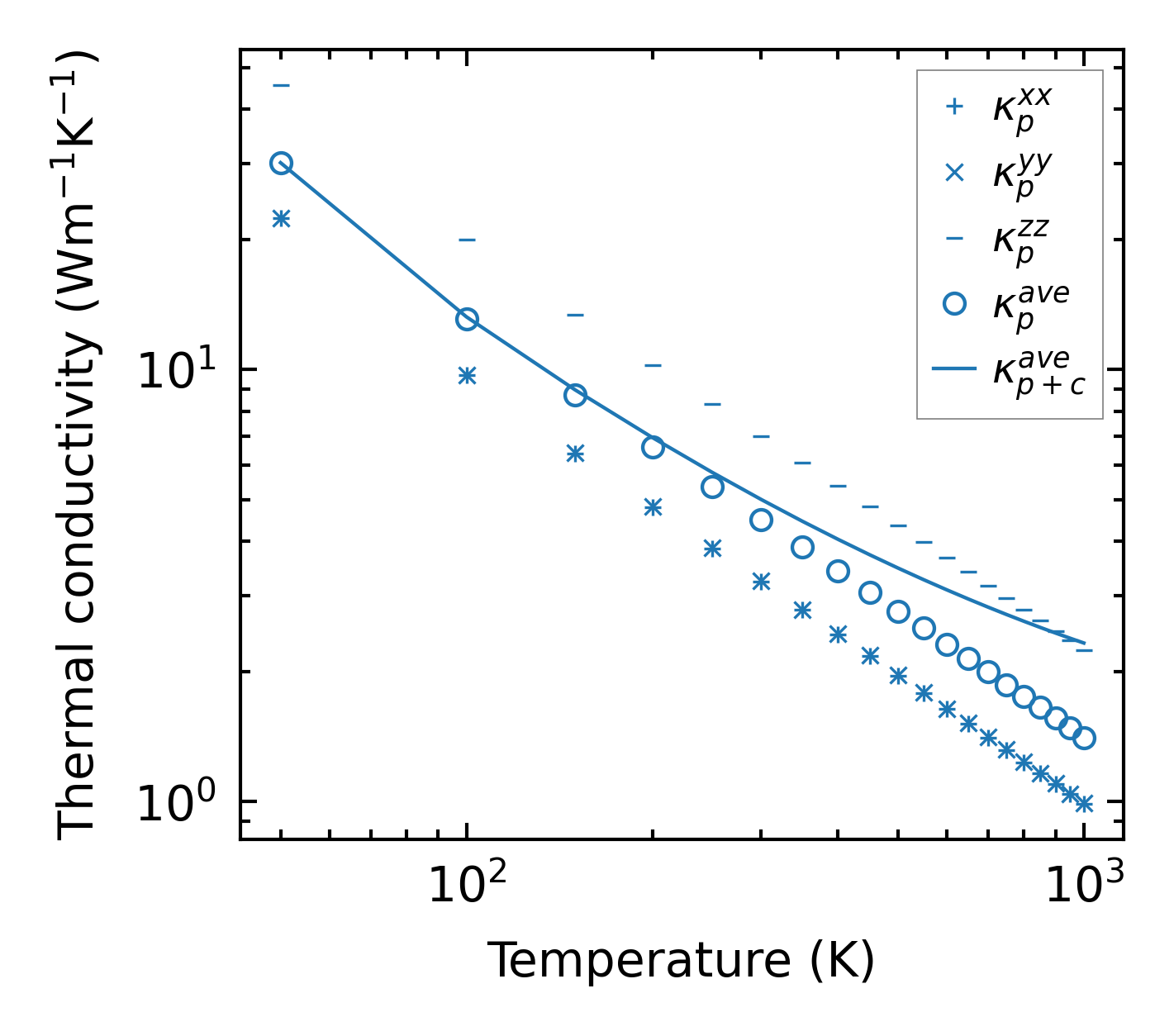
Summary

../../_images/fig_kappa1973.png

(a) Temperature-dependent lattice thermal conductivity

../../_images/fig_times2762.png

(b) Computation time