mp-8610/Li8PtO6/anharm

Equation of state

../../_images/fig_bm748.png

(a) Equation of state

Harmonic properties

../../_images/fig_bandos_pr1850.png

(a) Phonon dispersion with participation ratio and DOS

../../_images/fig_bandos1874.png

(b) Phonon dispersion and DOS

../../_images/fig_thermo1850.png

(c) Thermodynamic properties

Grüneisen parameters

../../_images/fig_gru_all1053.png

(a) Grüneisen parameters

../../_images/fig_gruneisen1053.png

(b) Phonon dispersion with Grüneisen parameters

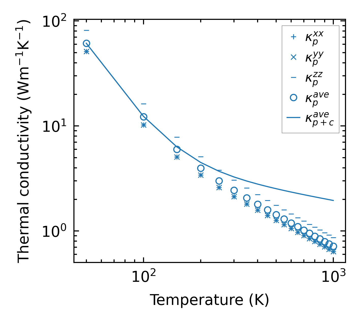
Thermal conductivity

3-phonon (LASSO), supercell 2x2x1 — q-mesh: 14x14x14, supercell: 2x2x1

../../_images/fig_kappa2038.png

(a) Temperature-dependent lattice thermal conductivity

../../_images/fig_kappa_vs_grain_size1064.png

(b) Peierls lattice thermal conductivity w.r.t grain size

Phonon lifetime and scattering rates

../../_images/fig_lifetime1044.png

(a) Phonon lifetime due to phonon-phonon scattering

../../_images/fig_scat_rates1043.png

(b) Phonon scattering rates

Cumulative and spectral thermal conductivity

../../_images/fig_cumu_frequency1044.png

(a) Spectral and cumulative thermal conductivity w.r.t frequency

../../_images/fig_cumu_mfp1044.png

(b) Spectral and cumulative thermal conductivity w.r.t MFP

Force constants

../../_images/fig_fc21673.png

(a) Force constants w.r.t atomic distance

Summary

../../_images/fig_times2834.png

(a) Computation time