mp-8059-2/SiO2/harm

Equation of state

../../_images/fig_bm864.png

(a) Equation of state

Harmonic properties

../../_images/fig_bandos_pr2032.png

(a) Phonon dispersion with participation ratio and DOS

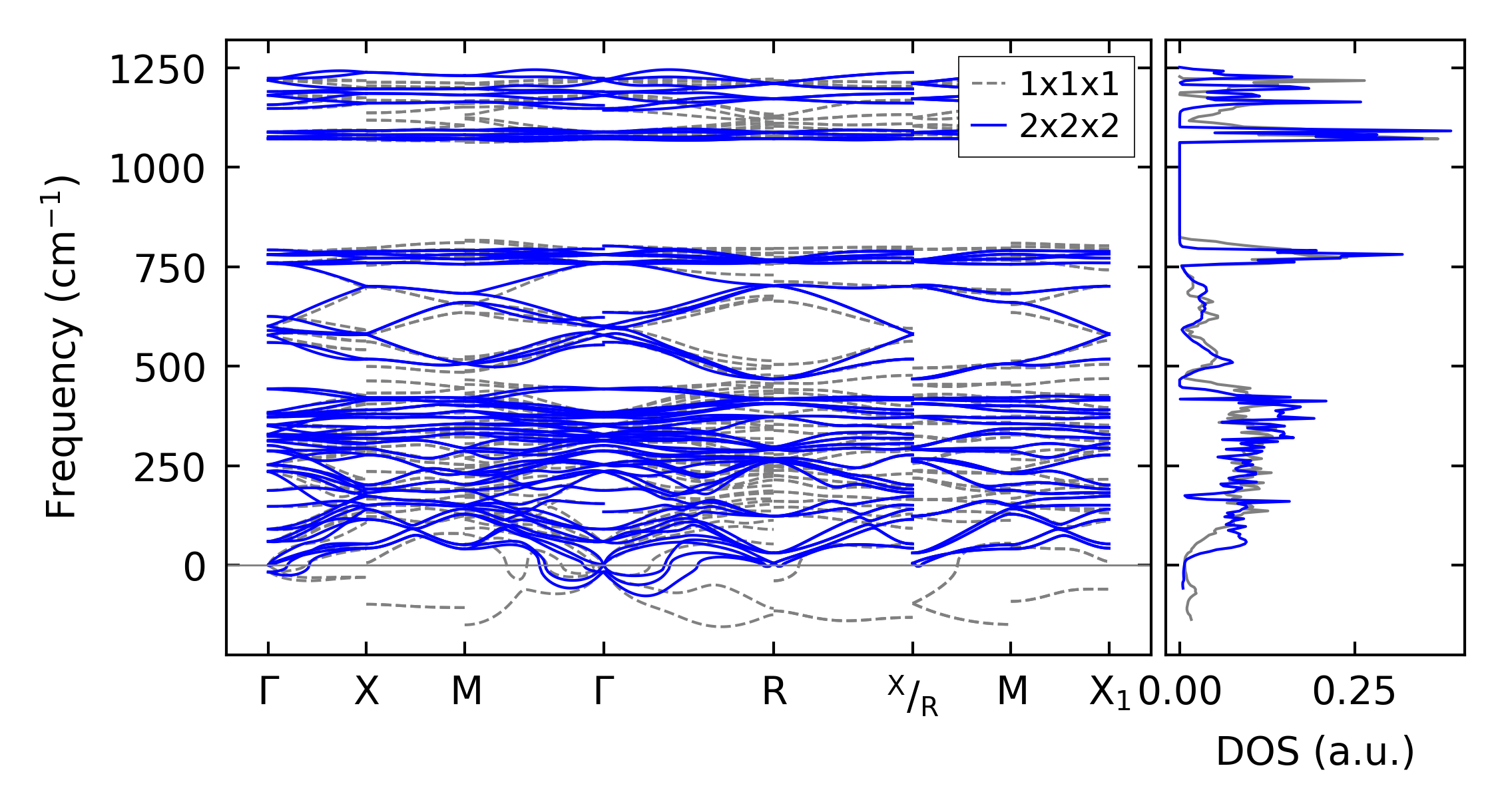
../../_images/fig_bandos2094.png

(b) Phonon dispersion and DOS

../../_images/fig_thermo2032.png

(c) Thermodynamic properties

Force constants

../../_images/fig_fc21854.png

(a) Force constants w.r.t atomic distance

Summary

../../_images/fig_times3134.png

(a) Computation time