mp-8075-2/NaBe4SbO7/anharm

Equation of state

../../_images/fig_bm867.png

(a) Equation of state

Harmonic properties

../../_images/fig_bandos_pr2037.png

(a) Phonon dispersion with participation ratio and DOS

../../_images/fig_thermo2037.png

(b) Thermodynamic properties

Grüneisen parameters

../../_images/fig_gru_all1160.png

(a) Grüneisen parameters

../../_images/fig_gruneisen1160.png

(b) Phonon dispersion with Grüneisen parameters

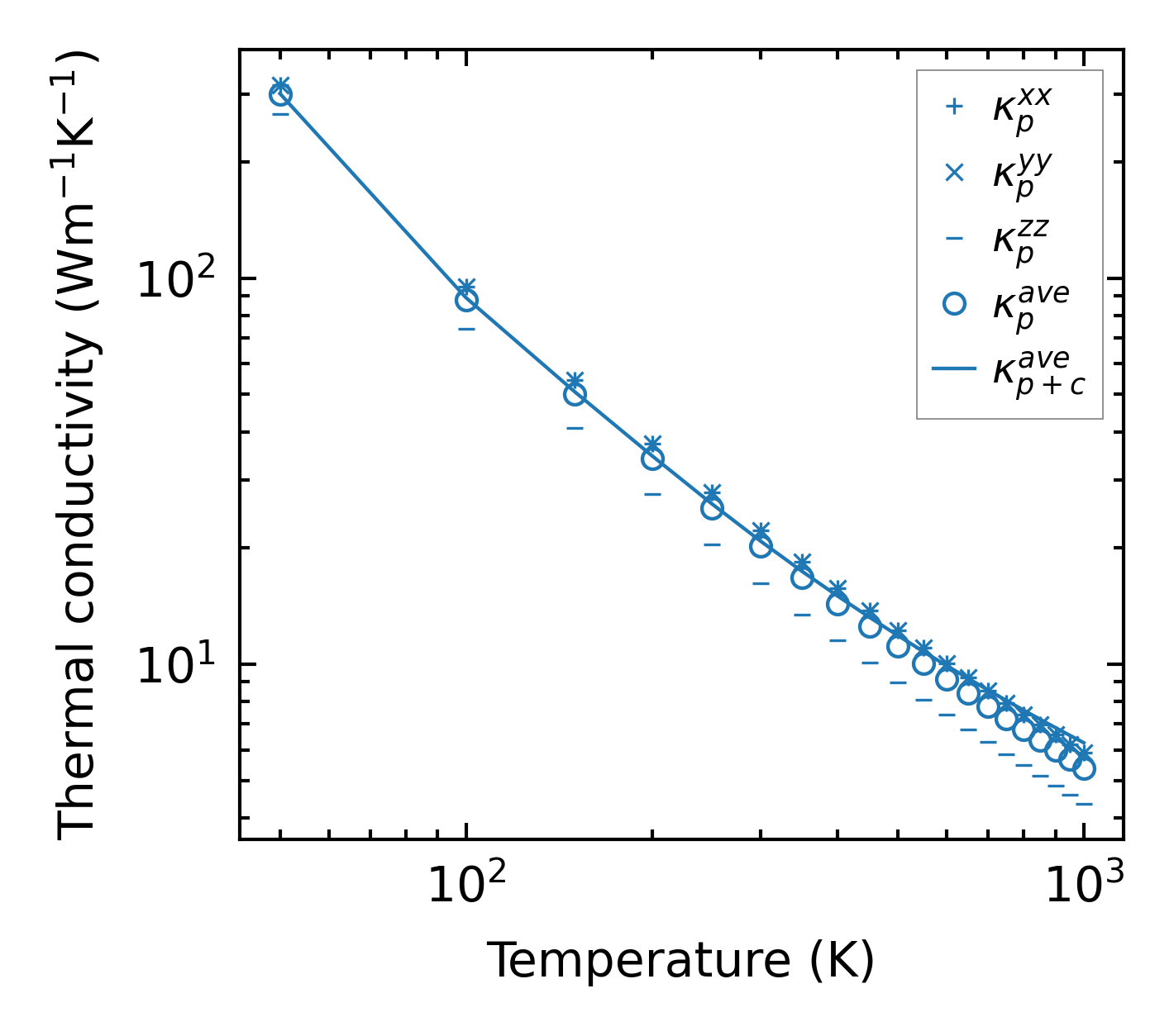
Thermal conductivity

3-phonon (LASSO) — q-mesh: 13x13x8, supercell: 2x2x1

../../_images/fig_kappa2232.png

(a) Temperature-dependent lattice thermal conductivity

../../_images/fig_kappa_vs_grain_size1173.png

(b) Peierls lattice thermal conductivity w.r.t grain size

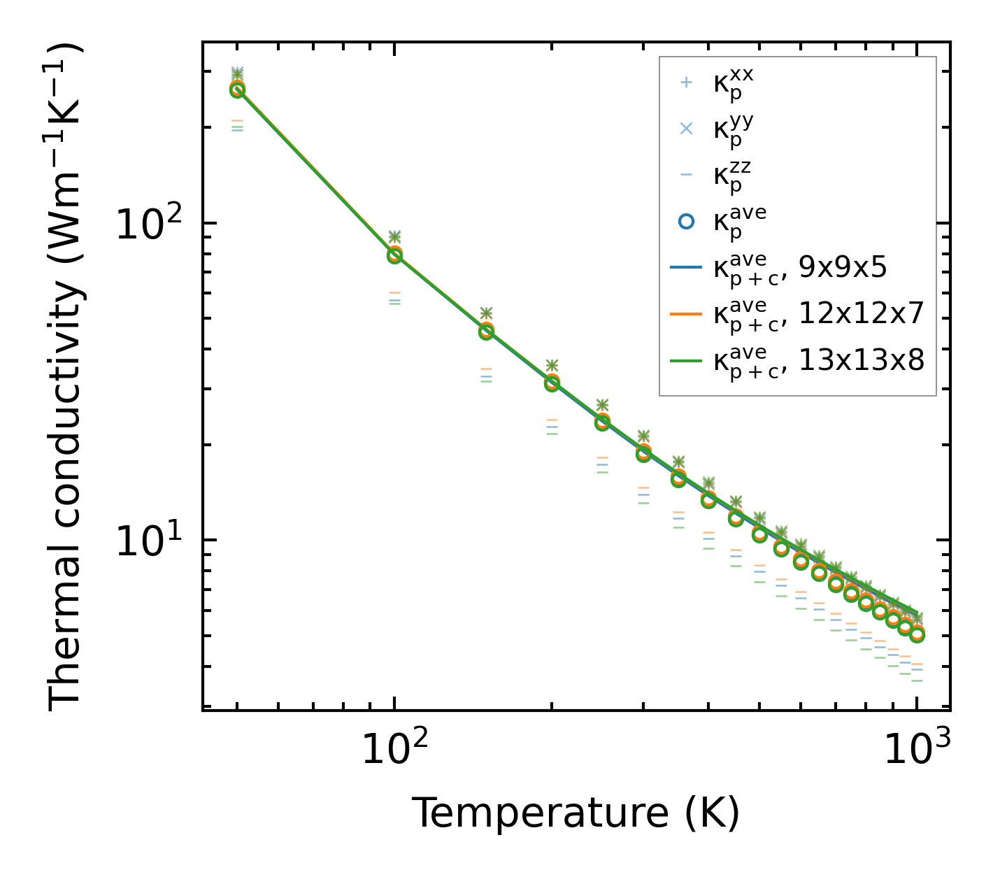
3-phonon (LASSO), supercell 2x2x2 — q-mesh: 13x13x8, supercell: 2x2x2

../../_images/fig_kappa2233.png

(a) Temperature-dependent lattice thermal conductivity

../../_images/fig_kappa_vs_grain_size1174.png

(b) Peierls lattice thermal conductivity w.r.t grain size

Phonon lifetime and scattering rates

../../_images/fig_lifetime1150.png

(a) Phonon lifetime due to phonon-phonon scattering

../../_images/fig_scat_rates1149.png

(b) Phonon scattering rates

Cumulative and spectral thermal conductivity

../../_images/fig_cumu_frequency1150.png

(a) Spectral and cumulative thermal conductivity w.r.t frequency

../../_images/fig_cumu_mfp1150.png

(b) Spectral and cumulative thermal conductivity w.r.t MFP

Force constants

../../_images/fig_fc21858.png

(a) Force constants w.r.t atomic distance

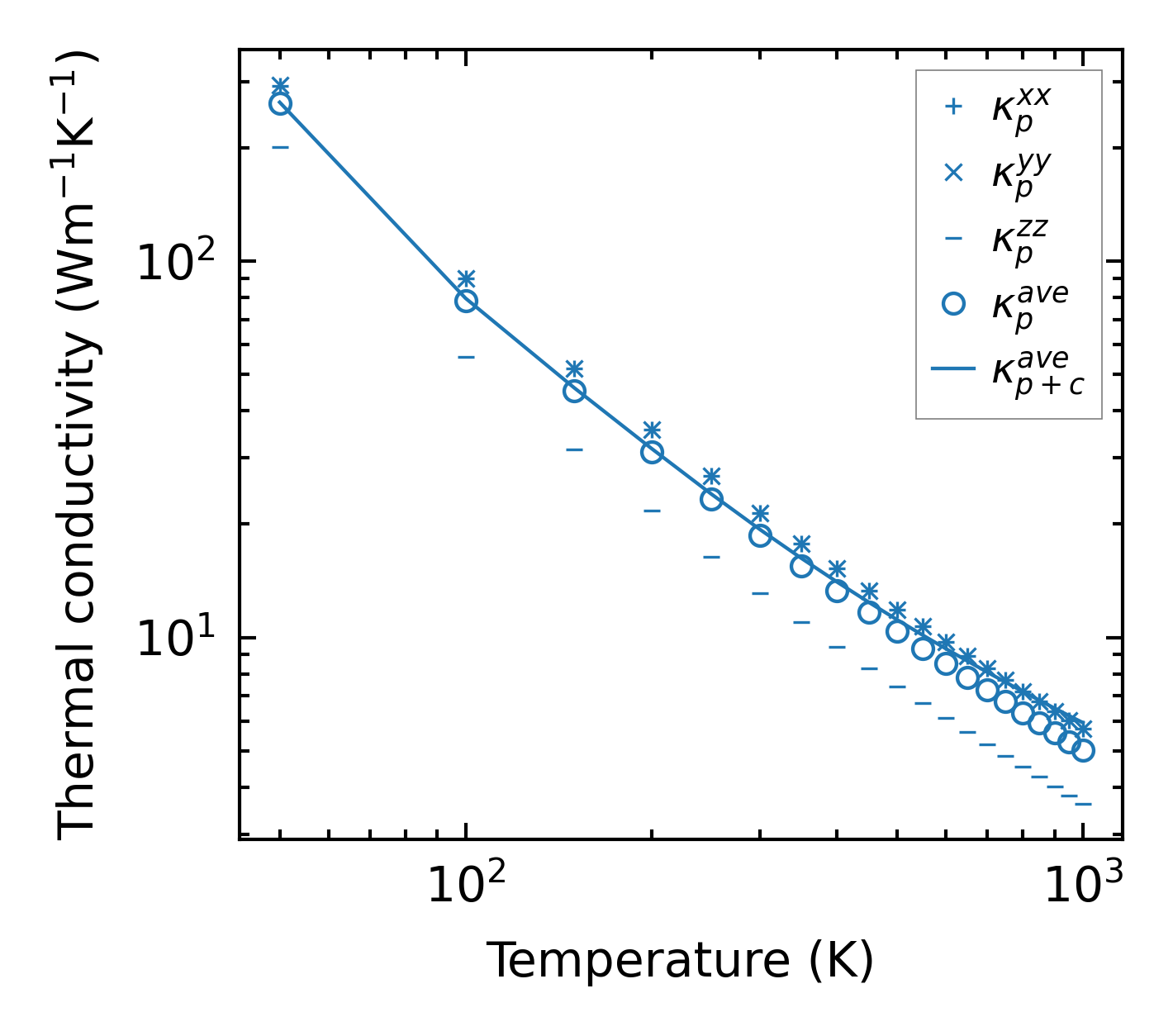
Summary

../../_images/fig_kappa2234.png

(a) Temperature-dependent lattice thermal conductivity

../../_images/fig_times3141.png

(b) Computation time