mp-8961/Ba3NaTaO6/anharm

Harmonic properties

../../_images/fig_bandos_pr1665.png

(a) Phonon dispersion with participation ratio and DOS

../../_images/fig_thermo1665.png

(b) Thermodynamic properties

Grüneisen parameters

../../_images/fig_gru_all978.png

(a) Grüneisen parameters

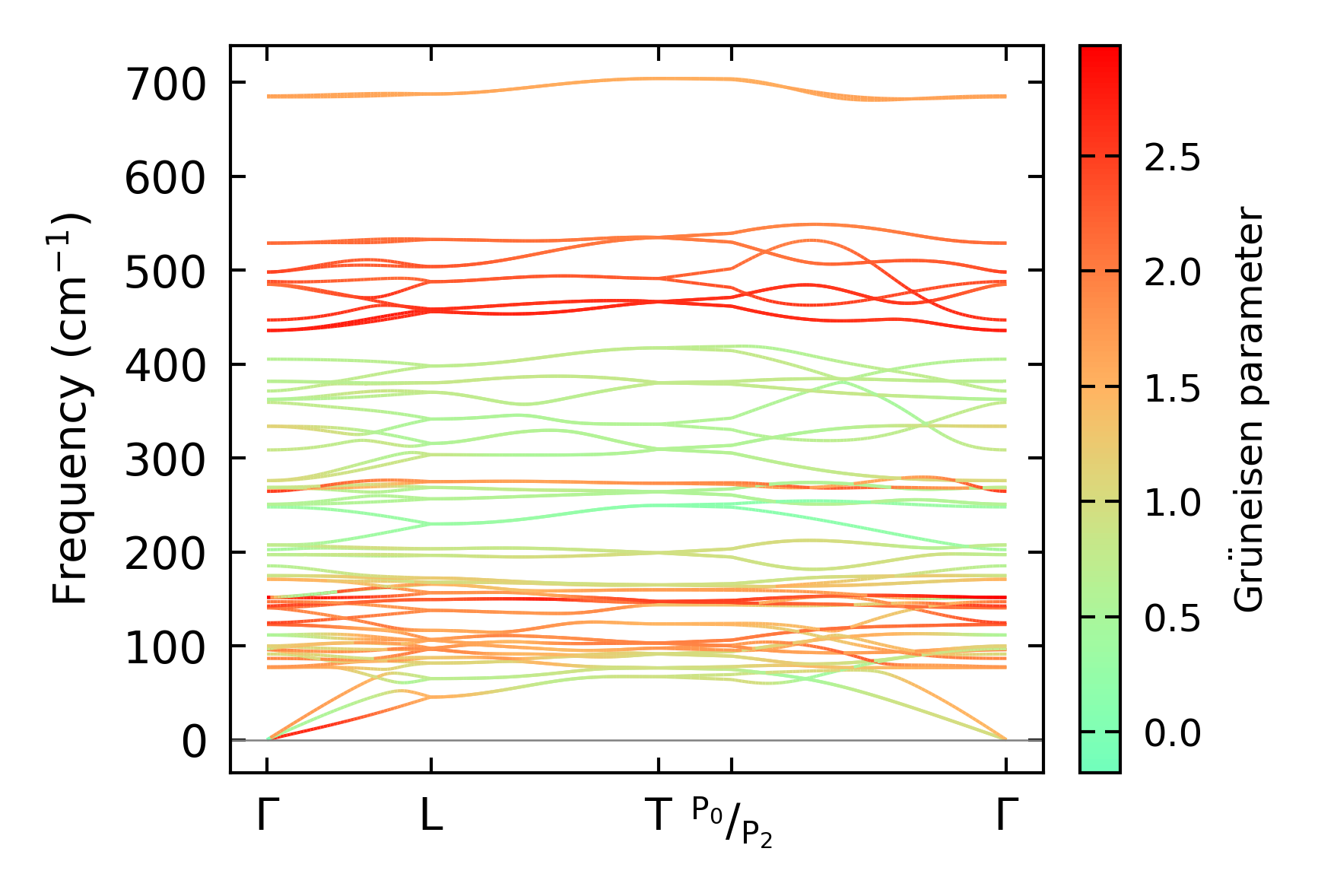
../../_images/fig_gruneisen978.png

(b) Phonon dispersion with Grüneisen parameters

Thermal conductivity

3-phonon (LASSO) — q-mesh: 10x10x10, supercell: 1x1x1

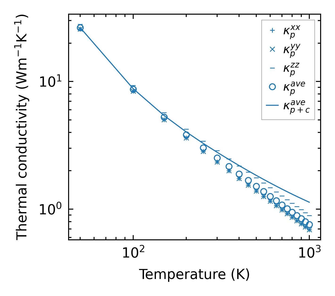
../../_images/fig_kappa1897.png

(a) Temperature-dependent lattice thermal conductivity

../../_images/fig_kappa_vs_grain_size989.png

(b) Peierls lattice thermal conductivity w.r.t grain size

Phonon lifetime and scattering rates

../../_images/fig_lifetime971.png

(a) Phonon lifetime due to phonon-phonon scattering

../../_images/fig_scat_rates970.png

(b) Phonon scattering rates

Cumulative and spectral thermal conductivity

../../_images/fig_cumu_frequency971.png

(a) Spectral and cumulative thermal conductivity w.r.t frequency

../../_images/fig_cumu_mfp971.png

(b) Spectral and cumulative thermal conductivity w.r.t MFP

Force constants

../../_images/fig_fc21498.png

(a) Force constants w.r.t atomic distance

Summary

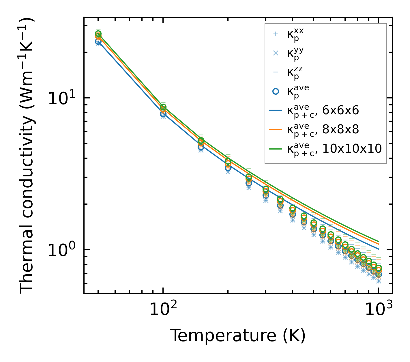
../../_images/fig_kappa1898.png

(a) Temperature-dependent lattice thermal conductivity

../../_images/fig_times2490.png

(b) Computation time