mp-8300-2/Ba4As2O/harm

Equation of state

../../_images/fig_bm706.png

(a) Equation of state

Harmonic properties

../../_images/fig_bandos_pr1781.png

(a) Phonon dispersion with participation ratio and DOS

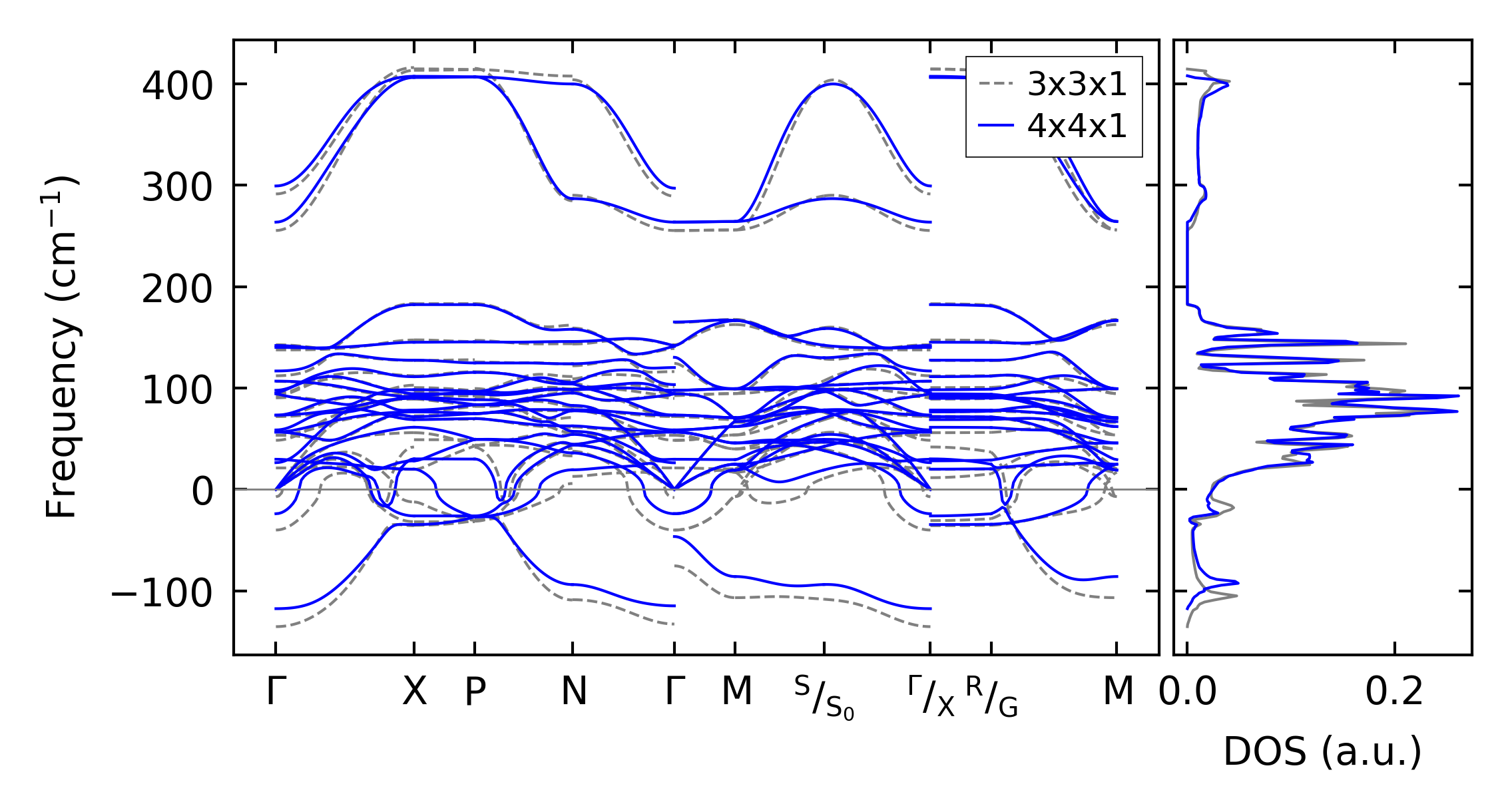
../../_images/fig_bandos1803.png

(b) Phonon dispersion and DOS

../../_images/fig_thermo1781.png

(c) Thermodynamic properties

Force constants

../../_images/fig_fc21610.png

(a) Force constants w.r.t atomic distance

Summary

../../_images/fig_times2726.png

(a) Computation time