mp-8564/CsK2ScP2O8/anharm

Harmonic properties

../../_images/fig_bandos_pr1842.png

(a) Phonon dispersion with participation ratio and DOS

../../_images/fig_thermo1842.png

(b) Thermodynamic properties

Grüneisen parameters

../../_images/fig_gru_all1046.png

(a) Grüneisen parameters

../../_images/fig_gruneisen1046.png

(b) Phonon dispersion with Grüneisen parameters

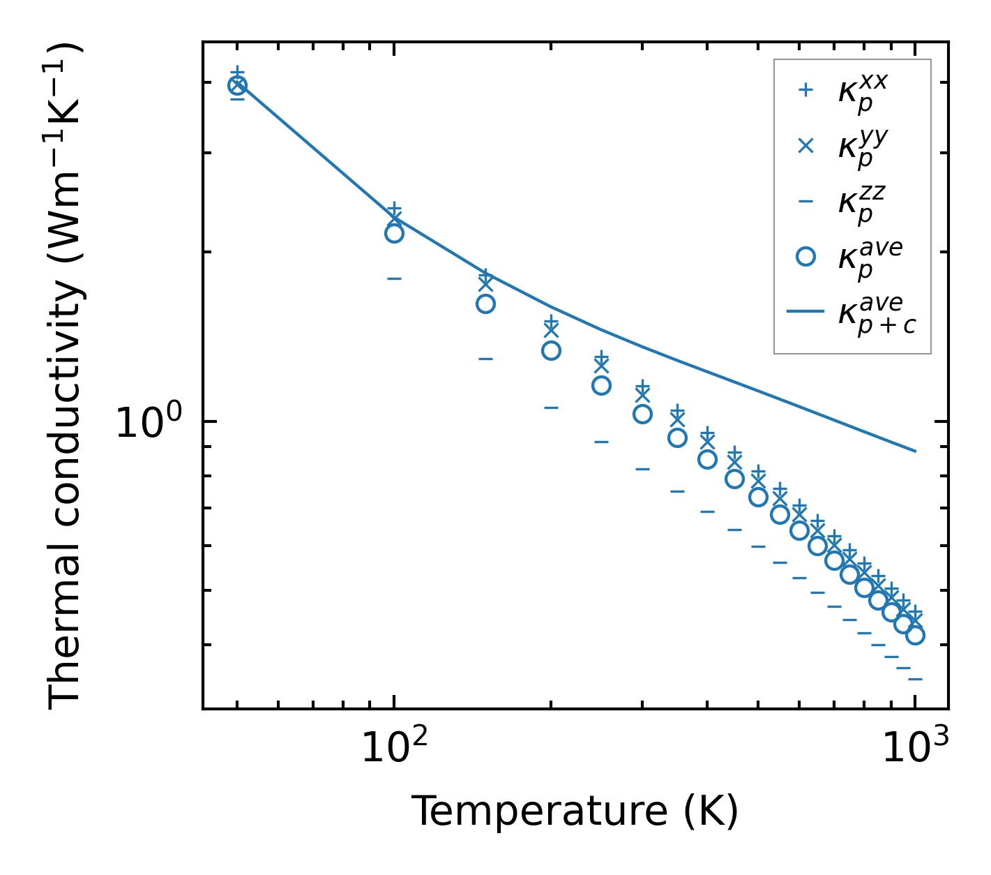
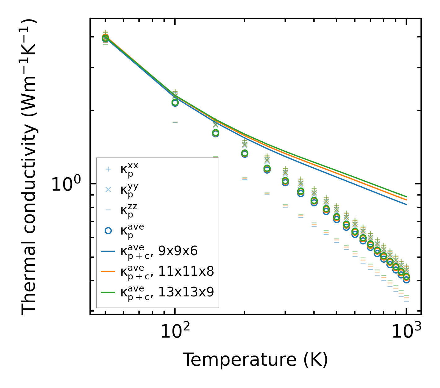
Thermal conductivity

3-phonon (LASSO) — q-mesh: 13x13x9, supercell: 2x2x2

../../_images/fig_kappa2025.png

(a) Temperature-dependent lattice thermal conductivity

../../_images/fig_kappa_vs_grain_size1058.png

(b) Peierls lattice thermal conductivity w.r.t grain size

Phonon lifetime and scattering rates

../../_images/fig_lifetime1038.png

(a) Phonon lifetime due to phonon-phonon scattering

../../_images/fig_scat_rates1037.png

(b) Phonon scattering rates

Cumulative and spectral thermal conductivity

../../_images/fig_cumu_frequency1038.png

(a) Spectral and cumulative thermal conductivity w.r.t frequency

../../_images/fig_cumu_mfp1038.png

(b) Spectral and cumulative thermal conductivity w.r.t MFP

Force constants

../../_images/fig_fc21665.png

(a) Force constants w.r.t atomic distance

Summary

../../_images/fig_kappa2026.png

(a) Temperature-dependent lattice thermal conductivity

../../_images/fig_times2819.png

(b) Computation time