mp-8459/CdSO4/anharm

Harmonic properties

../../_images/fig_bandos_pr1826.png

(a) Phonon dispersion with participation ratio and DOS

../../_images/fig_thermo1826.png

(b) Thermodynamic properties

Grüneisen parameters

../../_images/fig_gru_all1039.png

(a) Grüneisen parameters

../../_images/fig_gruneisen1039.png

(b) Phonon dispersion with Grüneisen parameters

Thermal conductivity

3-phonon (LASSO) — q-mesh: 15x15x10, supercell: 2x1x2

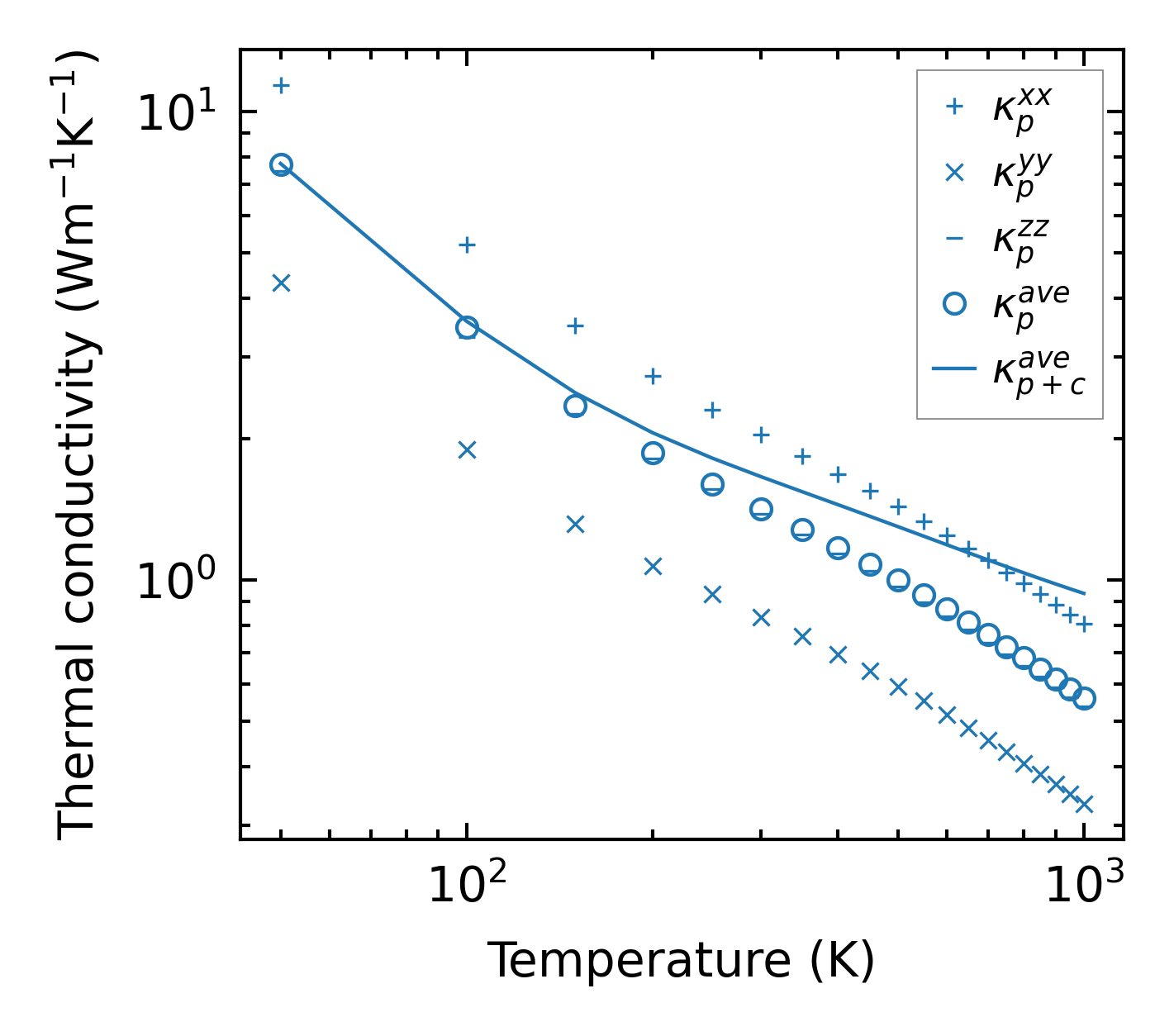
../../_images/fig_kappa2012.png

(a) Temperature-dependent lattice thermal conductivity

../../_images/fig_kappa_vs_grain_size1051.png

(b) Peierls lattice thermal conductivity w.r.t grain size

Phonon lifetime and scattering rates

../../_images/fig_lifetime1031.png

(a) Phonon lifetime due to phonon-phonon scattering

../../_images/fig_scat_rates1030.png

(b) Phonon scattering rates

Cumulative and spectral thermal conductivity

../../_images/fig_cumu_frequency1031.png

(a) Spectral and cumulative thermal conductivity w.r.t frequency

../../_images/fig_cumu_mfp1031.png

(b) Spectral and cumulative thermal conductivity w.r.t MFP

Force constants

../../_images/fig_fc21649.png

(a) Force constants w.r.t atomic distance

Summary

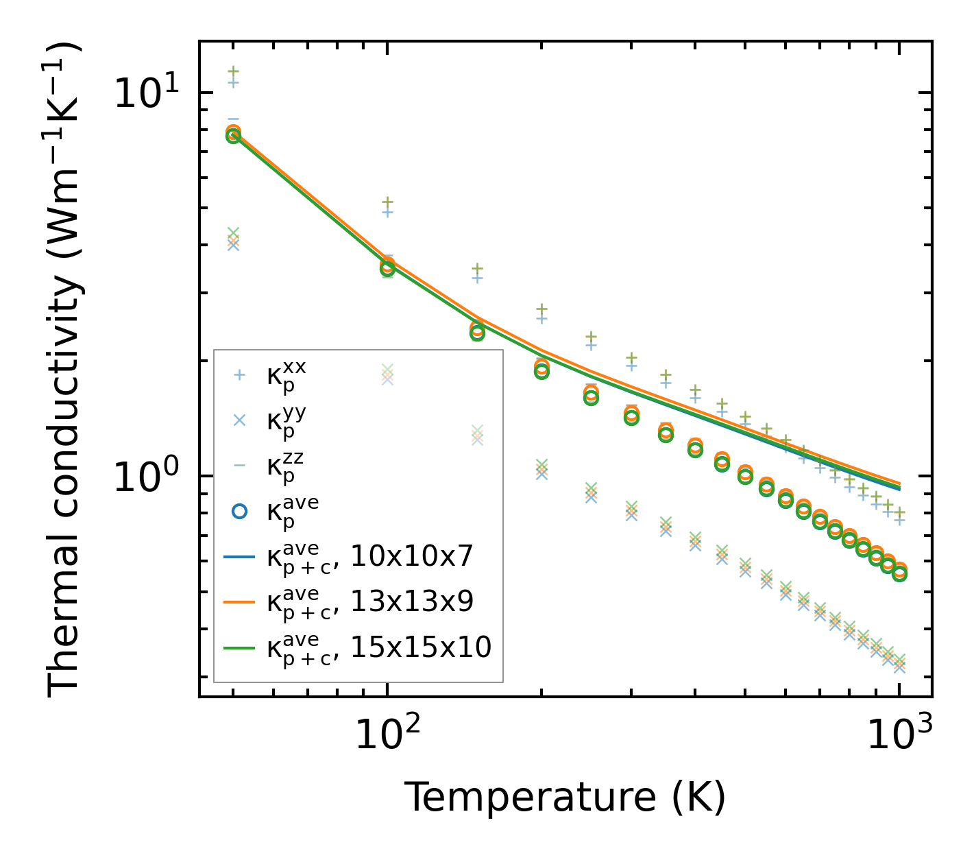
../../_images/fig_kappa2013.png

(a) Temperature-dependent lattice thermal conductivity

../../_images/fig_times2794.png

(b) Computation time