mp-8256/ZnPtF6/anharm

Harmonic properties

../../_images/fig_bandos_pr2103.png

(a) Phonon dispersion with participation ratio and DOS

../../_images/fig_thermo2103.png

(b) Thermodynamic properties

Grüneisen parameters

../../_images/fig_gru_all1207.png

(a) Grüneisen parameters

../../_images/fig_gruneisen1207.png

(b) Phonon dispersion with Grüneisen parameters

Thermal conductivity

3-phonon (LASSO) — q-mesh: 15x15x15, supercell: 2x2x1

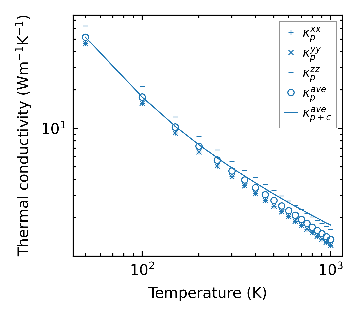
../../_images/fig_kappa2326.png

(a) Temperature-dependent lattice thermal conductivity

../../_images/fig_kappa_vs_grain_size1221.png

(b) Peierls lattice thermal conductivity w.r.t grain size

Phonon lifetime and scattering rates

../../_images/fig_lifetime1197.png

(a) Phonon lifetime due to phonon-phonon scattering

../../_images/fig_scat_rates1196.png

(b) Phonon scattering rates

Cumulative and spectral thermal conductivity

../../_images/fig_cumu_frequency1197.png

(a) Spectral and cumulative thermal conductivity w.r.t frequency

../../_images/fig_cumu_mfp1197.png

(b) Spectral and cumulative thermal conductivity w.r.t MFP

Force constants

../../_images/fig_fc21924.png

(a) Force constants w.r.t atomic distance

Summary

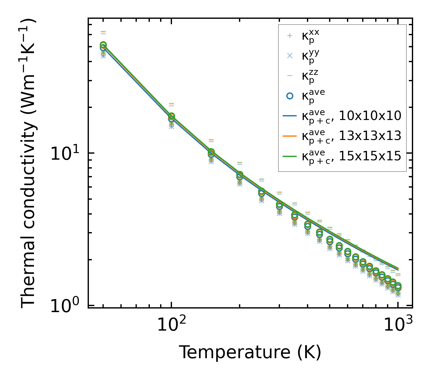
../../_images/fig_kappa2327.png

(a) Temperature-dependent lattice thermal conductivity

../../_images/fig_times3224.png

(b) Computation time