mp-8453-2/RbNaO/anharm

Equation of state

../../_images/fig_bm730.png

(a) Equation of state

Harmonic properties

../../_images/fig_bandos_pr1822.png

(a) Phonon dispersion with participation ratio and DOS

../../_images/fig_thermo1822.png

(b) Thermodynamic properties

Grüneisen parameters

../../_images/fig_gru_all1036.png

(a) Grüneisen parameters

../../_images/fig_gruneisen1036.png

(b) Phonon dispersion with Grüneisen parameters

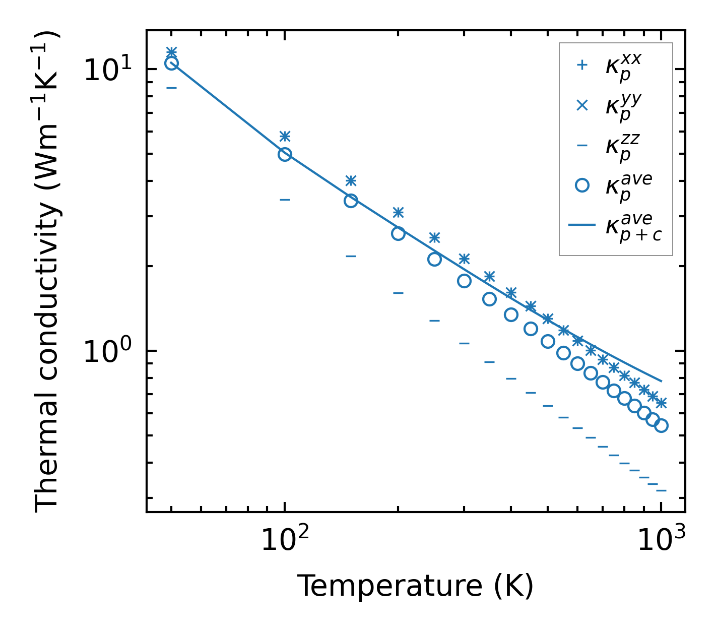
Thermal conductivity

3-phonon (LASSO) — q-mesh: 17x17x11, supercell: 3x3x2

../../_images/fig_kappa2005.png

(a) Temperature-dependent lattice thermal conductivity

../../_images/fig_kappa_vs_grain_size1047.png

(b) Peierls lattice thermal conductivity w.r.t grain size

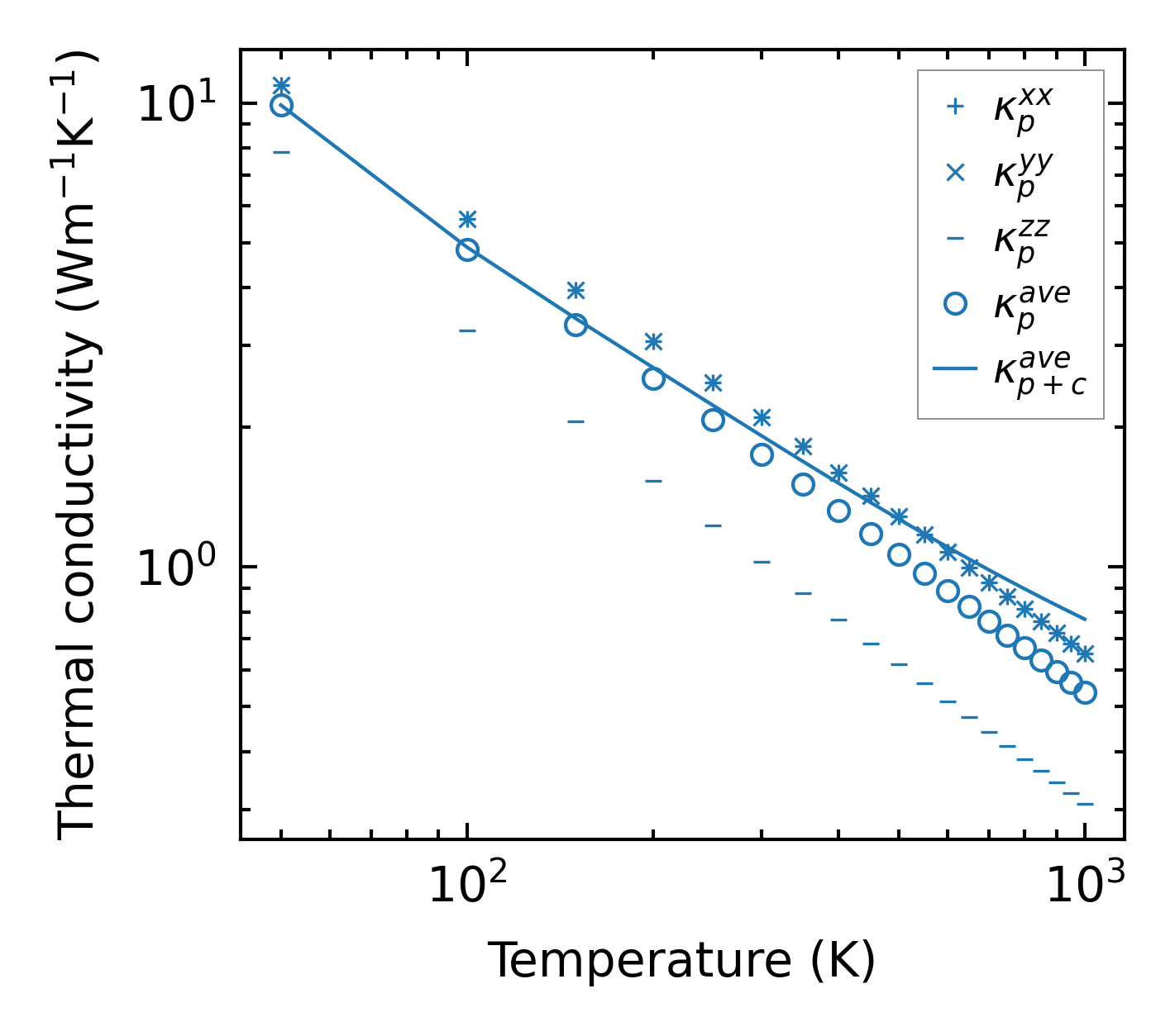
3-phonon (LASSO), supercell 4x4x2 — q-mesh: 17x17x11, supercell: 4x4x2

../../_images/fig_kappa2006.png

(a) Temperature-dependent lattice thermal conductivity

../../_images/fig_kappa_vs_grain_size1048.png

(b) Peierls lattice thermal conductivity w.r.t grain size

Phonon lifetime and scattering rates

../../_images/fig_lifetime1028.png

(a) Phonon lifetime due to phonon-phonon scattering

../../_images/fig_scat_rates1027.png

(b) Phonon scattering rates

Cumulative and spectral thermal conductivity

../../_images/fig_cumu_frequency1028.png

(a) Spectral and cumulative thermal conductivity w.r.t frequency

../../_images/fig_cumu_mfp1028.png

(b) Spectral and cumulative thermal conductivity w.r.t MFP

Force constants

../../_images/fig_fc21647.png

(a) Force constants w.r.t atomic distance

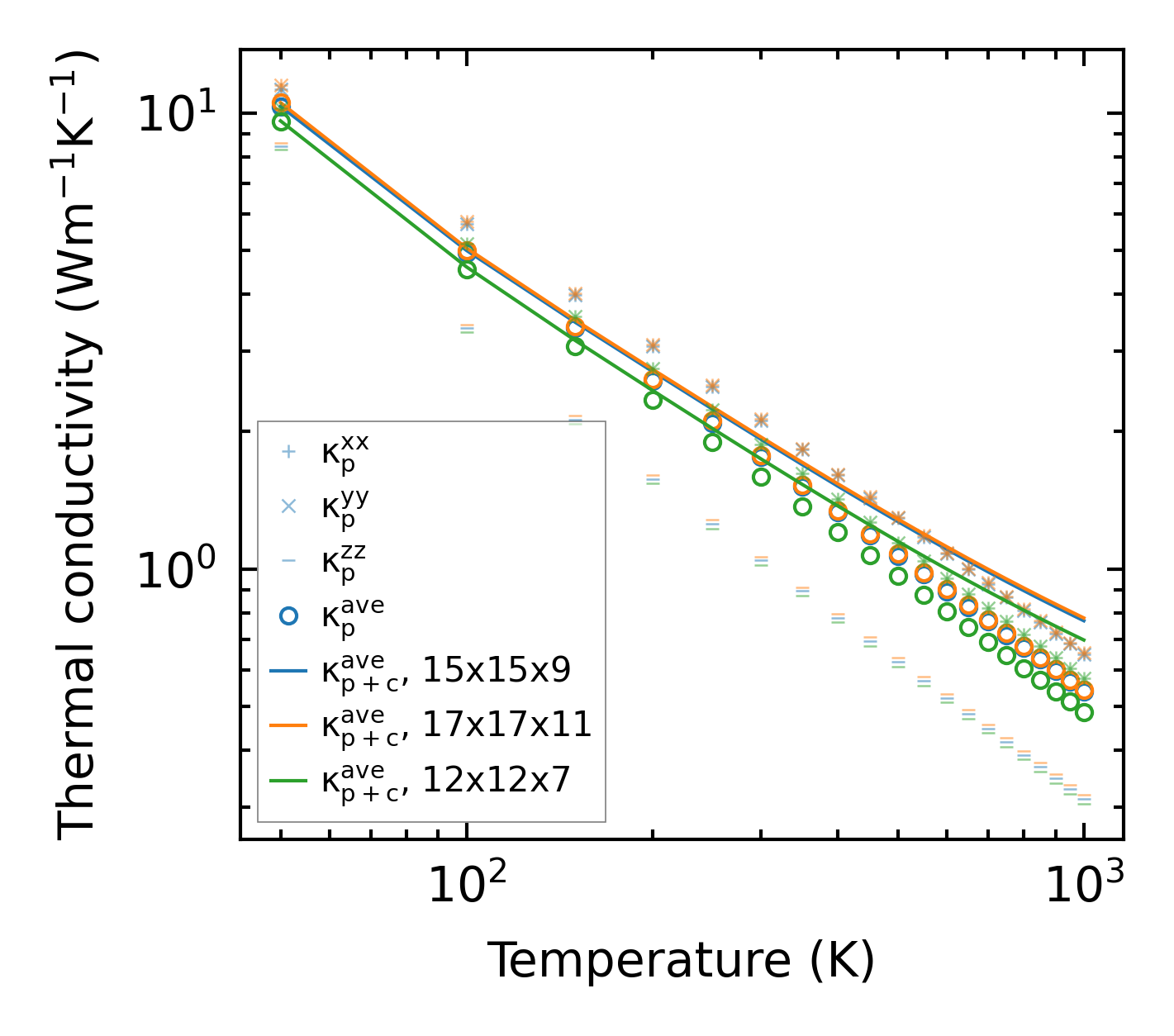
Summary

../../_images/fig_kappa2007.png

(a) Temperature-dependent lattice thermal conductivity

../../_images/fig_times2789.png

(b) Computation time