mp-8884/ZnTe/anharm

Harmonic properties

../../_images/fig_bandos_pr1953.png

(a) Phonon dispersion with participation ratio and DOS

../../_images/fig_thermo1953.png

(b) Thermodynamic properties

Grüneisen parameters

../../_images/fig_gru_all1123.png

(a) Grüneisen parameters

../../_images/fig_gruneisen1123.png

(b) Phonon dispersion with Grüneisen parameters

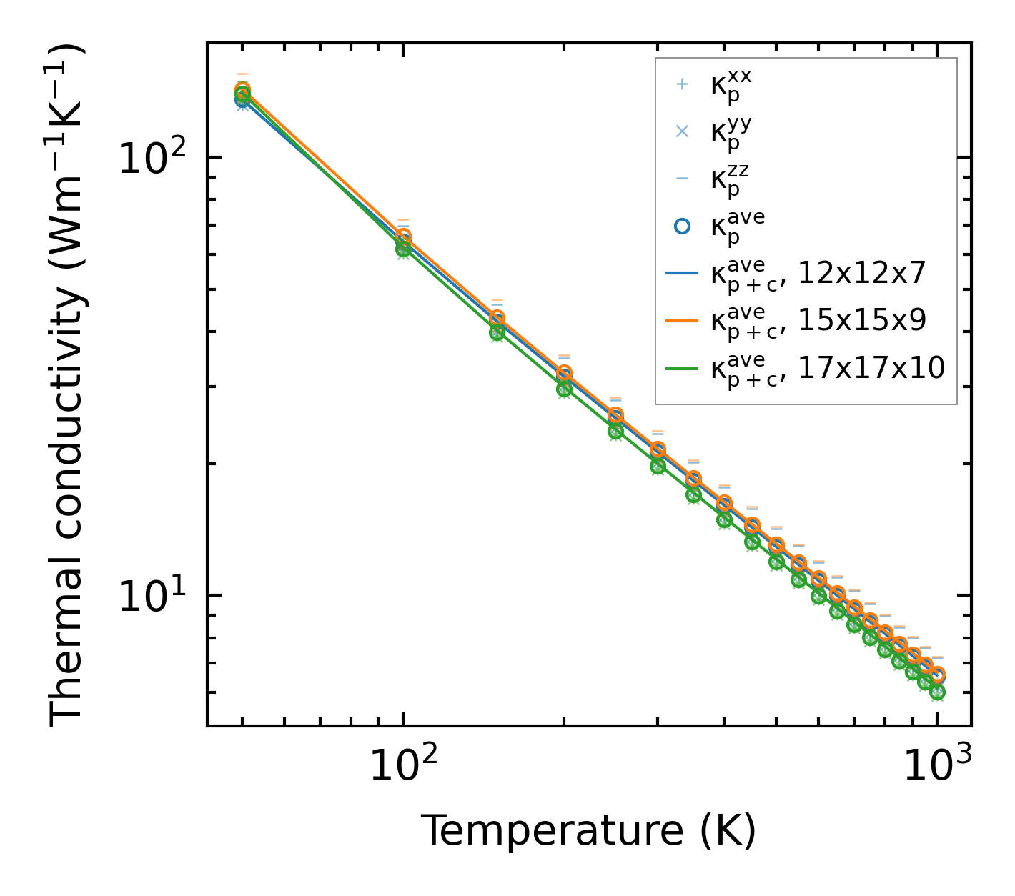
Thermal conductivity

3-phonon (LASSO) — q-mesh: 17x17x10, supercell: 4x4x2

../../_images/fig_kappa2161.png

(a) Temperature-dependent lattice thermal conductivity

../../_images/fig_kappa_vs_grain_size1135.png

(b) Peierls lattice thermal conductivity w.r.t grain size

Phonon lifetime and scattering rates

../../_images/fig_lifetime1114.png

(a) Phonon lifetime due to phonon-phonon scattering

../../_images/fig_scat_rates1113.png

(b) Phonon scattering rates

Cumulative and spectral thermal conductivity

../../_images/fig_cumu_frequency1114.png

(a) Spectral and cumulative thermal conductivity w.r.t frequency

../../_images/fig_cumu_mfp1114.png

(b) Spectral and cumulative thermal conductivity w.r.t MFP

Force constants

../../_images/fig_fc21776.png

(a) Force constants w.r.t atomic distance

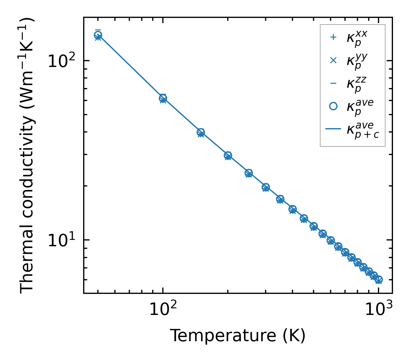
Summary

../../_images/fig_kappa2162.png

(a) Temperature-dependent lattice thermal conductivity

../../_images/fig_times2966.png

(b) Computation time