mp-8110/AlBO3/anharm

Harmonic properties

../../_images/fig_bandos_pr2042.png

(a) Phonon dispersion with participation ratio and DOS

../../_images/fig_thermo2042.png

(b) Thermodynamic properties

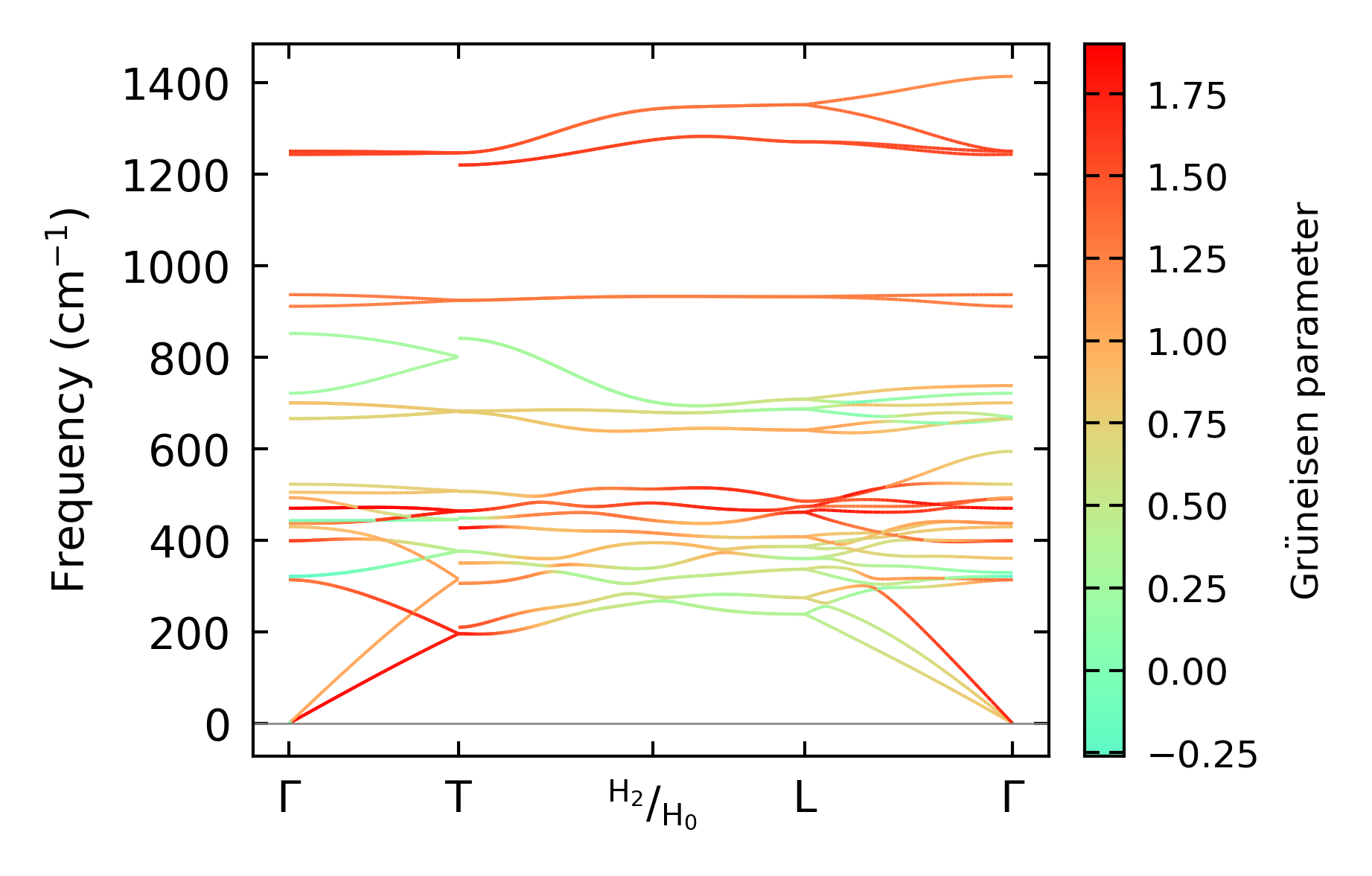
Grüneisen parameters

../../_images/fig_gru_all1163.png

(a) Grüneisen parameters

../../_images/fig_gruneisen1163.png

(b) Phonon dispersion with Grüneisen parameters

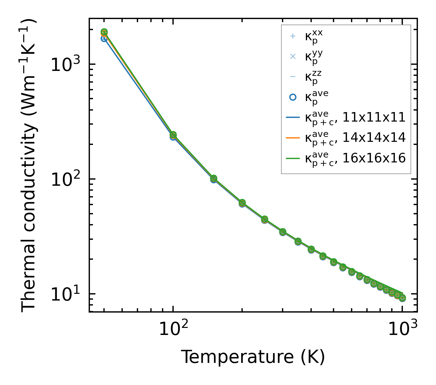
Thermal conductivity

3-phonon (LASSO) — q-mesh: 16x16x16, supercell: 2x2x1

../../_images/fig_kappa2240.png

(a) Temperature-dependent lattice thermal conductivity

../../_images/fig_kappa_vs_grain_size1177.png

(b) Peierls lattice thermal conductivity w.r.t grain size

Phonon lifetime and scattering rates

../../_images/fig_lifetime1153.png

(a) Phonon lifetime due to phonon-phonon scattering

../../_images/fig_scat_rates1152.png

(b) Phonon scattering rates

Cumulative and spectral thermal conductivity

../../_images/fig_cumu_frequency1153.png

(a) Spectral and cumulative thermal conductivity w.r.t frequency

../../_images/fig_cumu_mfp1153.png

(b) Spectral and cumulative thermal conductivity w.r.t MFP

Force constants

../../_images/fig_fc21863.png

(a) Force constants w.r.t atomic distance

Summary

../../_images/fig_kappa2241.png

(a) Temperature-dependent lattice thermal conductivity

../../_images/fig_times3150.png

(b) Computation time