mp-8804-2/Li6MoN4/anharm

Equation of state

../../_images/fig_bm785.png

(a) Equation of state

Harmonic properties

../../_images/fig_bandos_pr1922.png

(a) Phonon dispersion with participation ratio and DOS

../../_images/fig_thermo1922.png

(b) Thermodynamic properties

Grüneisen parameters

../../_images/fig_gru_all1100.png

(a) Grüneisen parameters

../../_images/fig_gruneisen1100.png

(b) Phonon dispersion with Grüneisen parameters

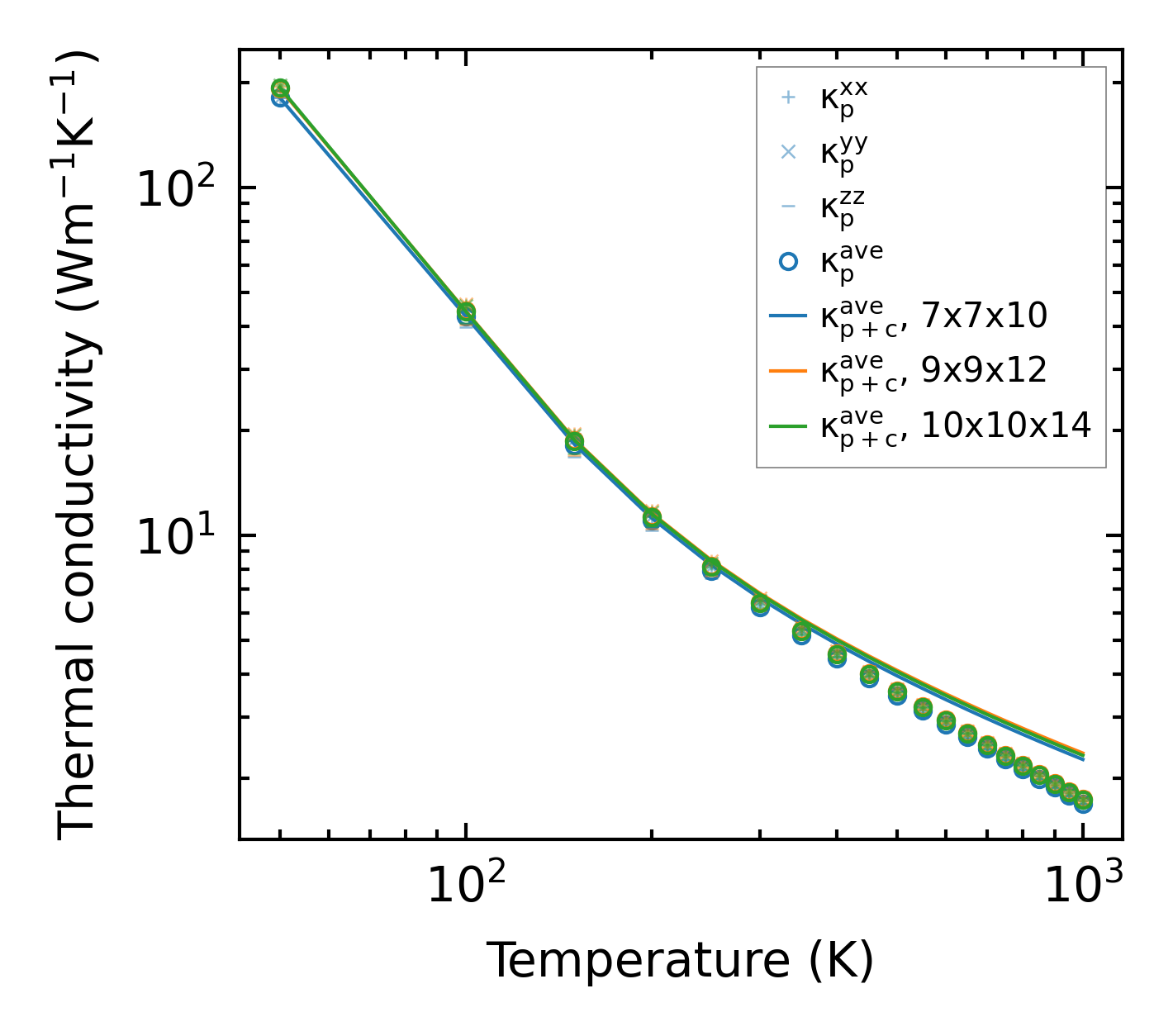
Thermal conductivity

3-phonon (LASSO) — q-mesh: 10x10x14, supercell: 1x1x2

../../_images/fig_kappa2119.png

(a) Temperature-dependent lattice thermal conductivity

../../_images/fig_kappa_vs_grain_size1111.png

(b) Peierls lattice thermal conductivity w.r.t grain size

Phonon lifetime and scattering rates

../../_images/fig_lifetime1091.png

(a) Phonon lifetime due to phonon-phonon scattering

../../_images/fig_scat_rates1090.png

(b) Phonon scattering rates

Cumulative and spectral thermal conductivity

../../_images/fig_cumu_frequency1091.png

(a) Spectral and cumulative thermal conductivity w.r.t frequency

../../_images/fig_cumu_mfp1091.png

(b) Spectral and cumulative thermal conductivity w.r.t MFP

Force constants

../../_images/fig_fc21745.png

(a) Force constants w.r.t atomic distance

Summary

../../_images/fig_kappa2120.png

(a) Temperature-dependent lattice thermal conductivity

../../_images/fig_times2923.png

(b) Computation time