mp-8812-2/Rb2GeF6/anharm

Equation of state

../../_images/fig_bm788.png

(a) Equation of state

Harmonic properties

../../_images/fig_bandos_pr1924.png

(a) Phonon dispersion with participation ratio and DOS

../../_images/fig_thermo1924.png

(b) Thermodynamic properties

Grüneisen parameters

../../_images/fig_gru_all1102.png

(a) Grüneisen parameters

../../_images/fig_gruneisen1102.png

(b) Phonon dispersion with Grüneisen parameters

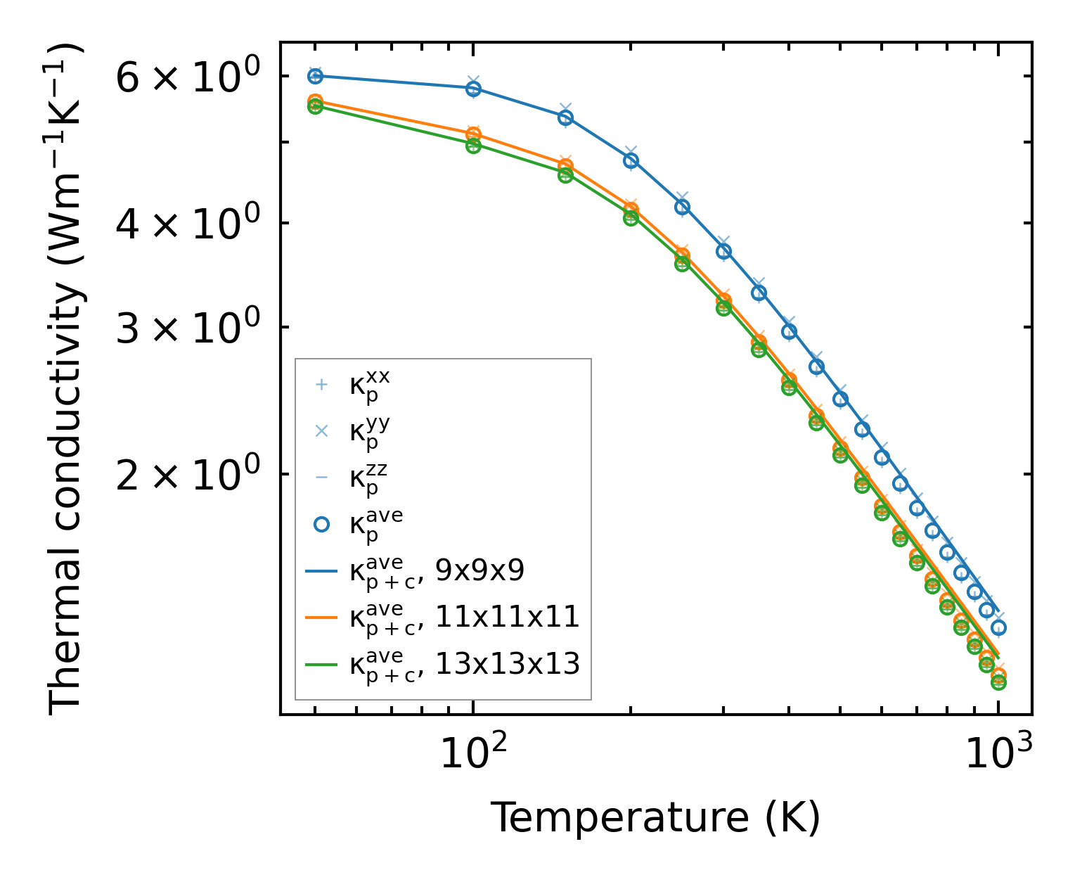
Thermal conductivity

3-phonon (LASSO) — q-mesh: 13x13x13, supercell: 1x1x1

../../_images/fig_kappa2123.png

(a) Temperature-dependent lattice thermal conductivity

../../_images/fig_kappa_vs_grain_size1113.png

(b) Peierls lattice thermal conductivity w.r.t grain size

Phonon lifetime and scattering rates

../../_images/fig_lifetime1093.png

(a) Phonon lifetime due to phonon-phonon scattering

../../_images/fig_scat_rates1092.png

(b) Phonon scattering rates

Cumulative and spectral thermal conductivity

../../_images/fig_cumu_frequency1093.png

(a) Spectral and cumulative thermal conductivity w.r.t frequency

../../_images/fig_cumu_mfp1093.png

(b) Spectral and cumulative thermal conductivity w.r.t MFP

Force constants

../../_images/fig_fc21747.png

(a) Force constants w.r.t atomic distance

Summary

../../_images/fig_kappa2124.png

(a) Temperature-dependent lattice thermal conductivity

../../_images/fig_times2929.png

(b) Computation time