mp-8774-2/Rb3CO3F/anharm

Equation of state

../../_images/fig_bm780.png

(a) Equation of state

Harmonic properties

../../_images/fig_bandos_pr1917.png

(a) Phonon dispersion with participation ratio and DOS

../../_images/fig_bandos1922.png

(b) Phonon dispersion and DOS

../../_images/fig_thermo1917.png

(c) Thermodynamic properties

Grüneisen parameters

../../_images/fig_gru_all1096.png

(a) Grüneisen parameters

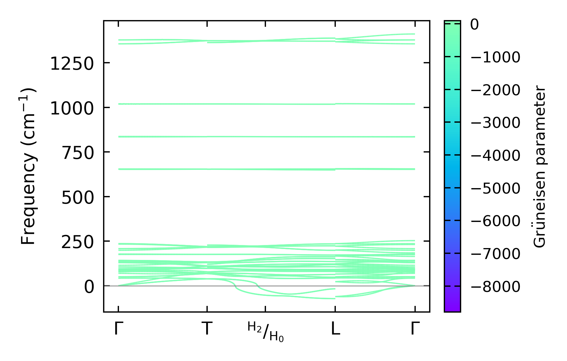
../../_images/fig_gruneisen1096.png

(b) Phonon dispersion with Grüneisen parameters

Thermal conductivity

3-phonon (LASSO), supercell 2x2x1 — q-mesh: 10x10x10, supercell: 2x2x1

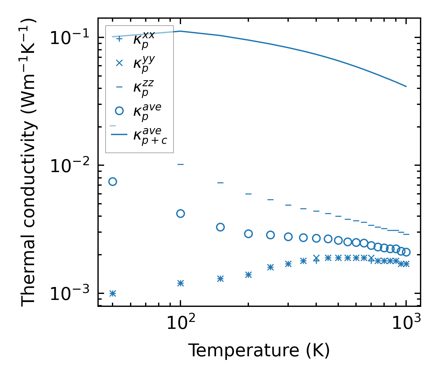
../../_images/fig_kappa2112.png

(a) Temperature-dependent lattice thermal conductivity

../../_images/fig_kappa_vs_grain_size1107.png

(b) Peierls lattice thermal conductivity w.r.t grain size

Phonon lifetime and scattering rates

../../_images/fig_lifetime1087.png

(a) Phonon lifetime due to phonon-phonon scattering

../../_images/fig_scat_rates1086.png

(b) Phonon scattering rates

Cumulative and spectral thermal conductivity

../../_images/fig_cumu_frequency1087.png

(a) Spectral and cumulative thermal conductivity w.r.t frequency

../../_images/fig_cumu_mfp1087.png

(b) Spectral and cumulative thermal conductivity w.r.t MFP

Force constants

../../_images/fig_fc21740.png

(a) Force constants w.r.t atomic distance

Summary

../../_images/fig_times2912.png

(a) Computation time