mp-8200/AgP2/anharm

Harmonic properties

../../_images/fig_bandos_pr2076.png

(a) Phonon dispersion with participation ratio and DOS

../../_images/fig_thermo2076.png

(b) Thermodynamic properties

Grüneisen parameters

../../_images/fig_gru_all1186.png

(a) Grüneisen parameters

../../_images/fig_gruneisen1186.png

(b) Phonon dispersion with Grüneisen parameters

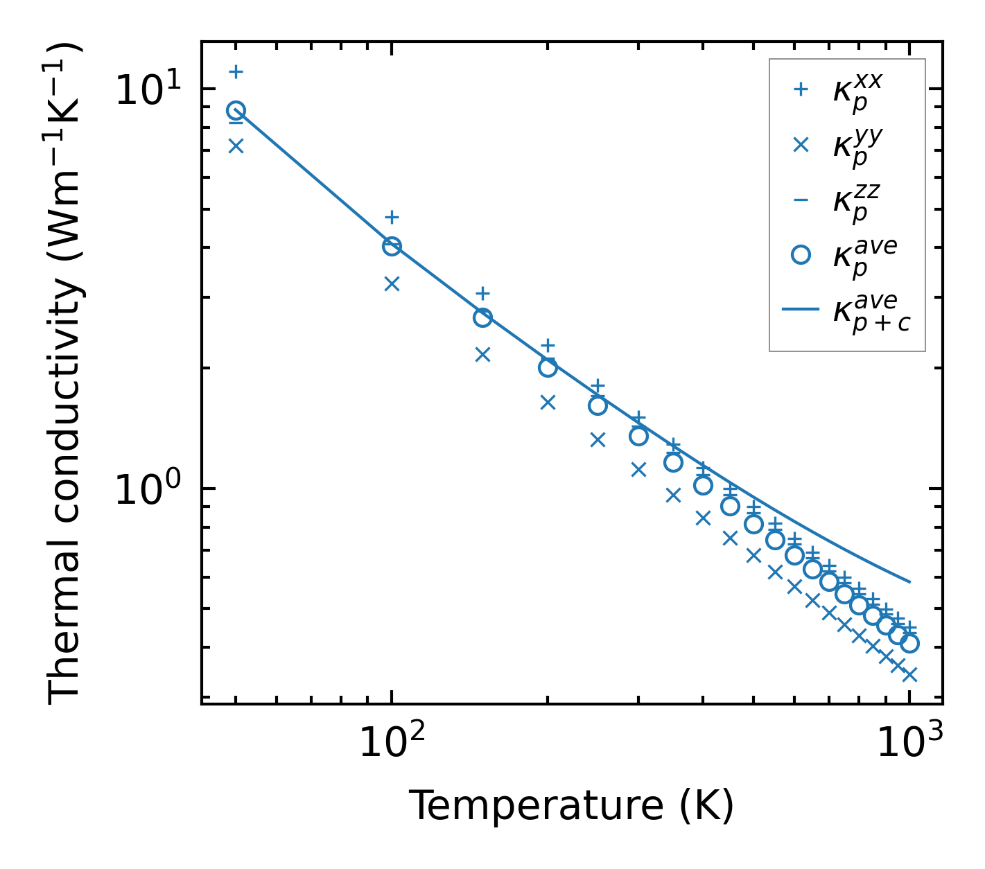
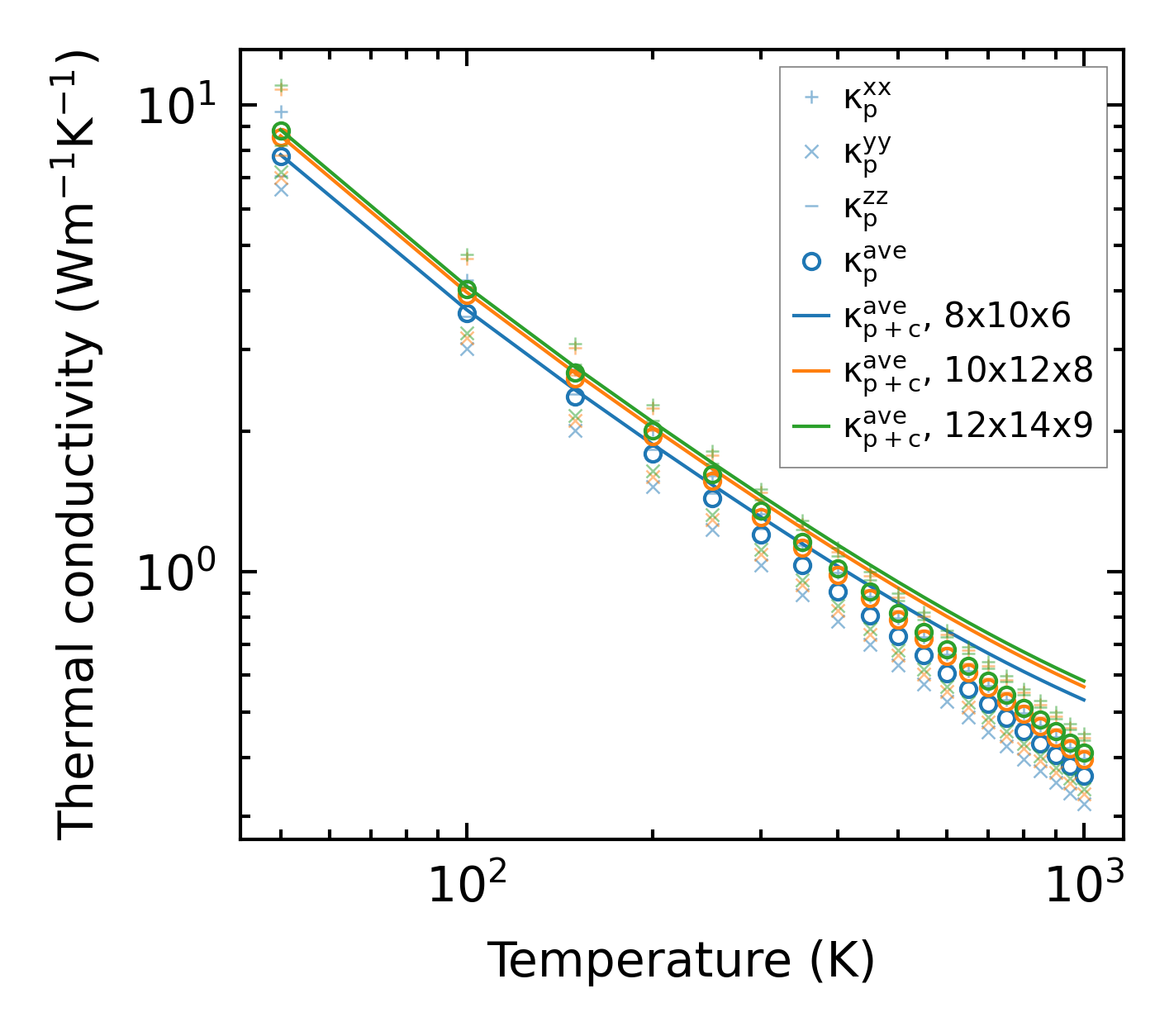
Thermal conductivity

3-phonon (LASSO) — q-mesh: 12x14x9, supercell: 2x3x2

../../_images/fig_kappa2286.png

(a) Temperature-dependent lattice thermal conductivity

../../_images/fig_kappa_vs_grain_size1200.png

(b) Peierls lattice thermal conductivity w.r.t grain size

Phonon lifetime and scattering rates

../../_images/fig_lifetime1176.png

(a) Phonon lifetime due to phonon-phonon scattering

../../_images/fig_scat_rates1175.png

(b) Phonon scattering rates

Cumulative and spectral thermal conductivity

../../_images/fig_cumu_frequency1176.png

(a) Spectral and cumulative thermal conductivity w.r.t frequency

../../_images/fig_cumu_mfp1176.png

(b) Spectral and cumulative thermal conductivity w.r.t MFP

Force constants

../../_images/fig_fc21897.png

(a) Force constants w.r.t atomic distance

Summary

../../_images/fig_kappa2287.png

(a) Temperature-dependent lattice thermal conductivity

../../_images/fig_times3192.png

(b) Computation time