mp-8622/Rb2PtSe2/anharm

Harmonic properties

../../_images/fig_bandos_pr1859.png

(a) Phonon dispersion with participation ratio and DOS

../../_images/fig_thermo1859.png

(b) Thermodynamic properties

Grüneisen parameters

../../_images/fig_gru_all1060.png

(a) Grüneisen parameters

../../_images/fig_gruneisen1060.png

(b) Phonon dispersion with Grüneisen parameters

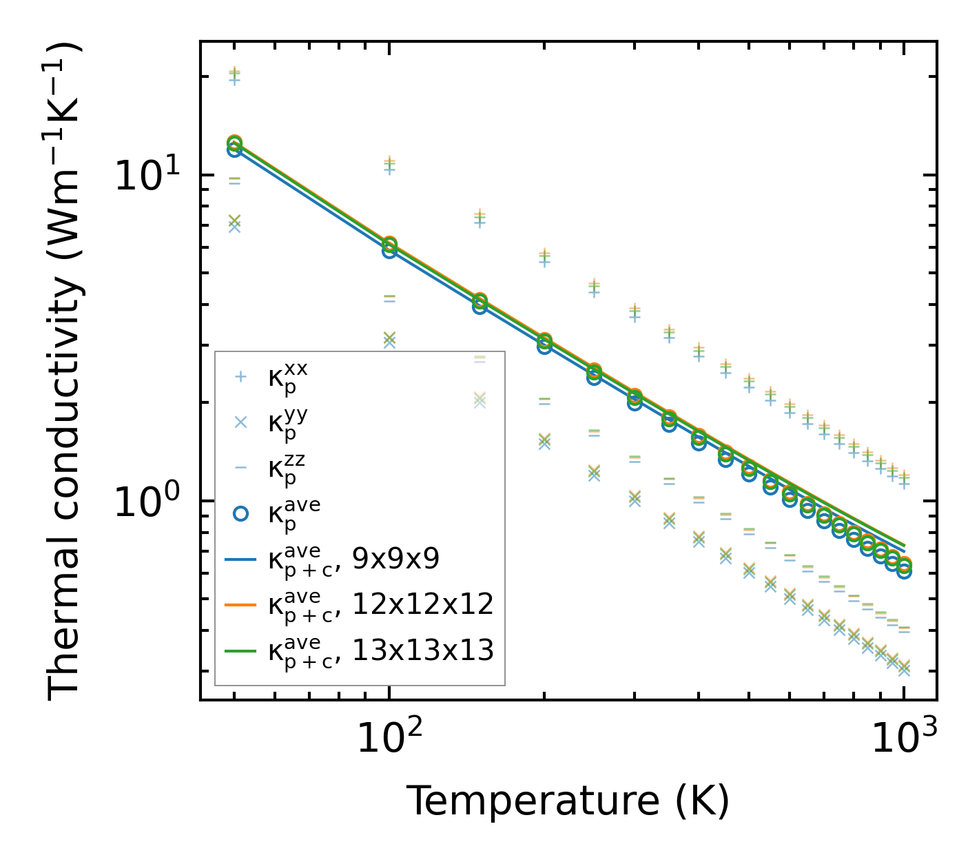
Thermal conductivity

3-phonon (LASSO) — q-mesh: 13x13x13, supercell: 3x2x2

../../_images/fig_kappa2048.png

(a) Temperature-dependent lattice thermal conductivity

../../_images/fig_kappa_vs_grain_size1071.png

(b) Peierls lattice thermal conductivity w.r.t grain size

Phonon lifetime and scattering rates

../../_images/fig_lifetime1051.png

(a) Phonon lifetime due to phonon-phonon scattering

../../_images/fig_scat_rates1050.png

(b) Phonon scattering rates

Cumulative and spectral thermal conductivity

../../_images/fig_cumu_frequency1051.png

(a) Spectral and cumulative thermal conductivity w.r.t frequency

../../_images/fig_cumu_mfp1051.png

(b) Spectral and cumulative thermal conductivity w.r.t MFP

Force constants

../../_images/fig_fc21682.png

(a) Force constants w.r.t atomic distance

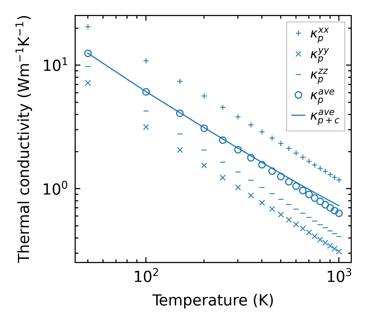
Summary

../../_images/fig_kappa2049.png

(a) Temperature-dependent lattice thermal conductivity

../../_images/fig_times2845.png

(b) Computation time