mp-8682/Ca2SiO4/anharm

Harmonic properties

../../_images/fig_bandos_pr1876.png

(a) Phonon dispersion with participation ratio and DOS

../../_images/fig_thermo1876.png

(b) Thermodynamic properties

Grüneisen parameters

../../_images/fig_gru_all1070.png

(a) Grüneisen parameters

../../_images/fig_gruneisen1070.png

(b) Phonon dispersion with Grüneisen parameters

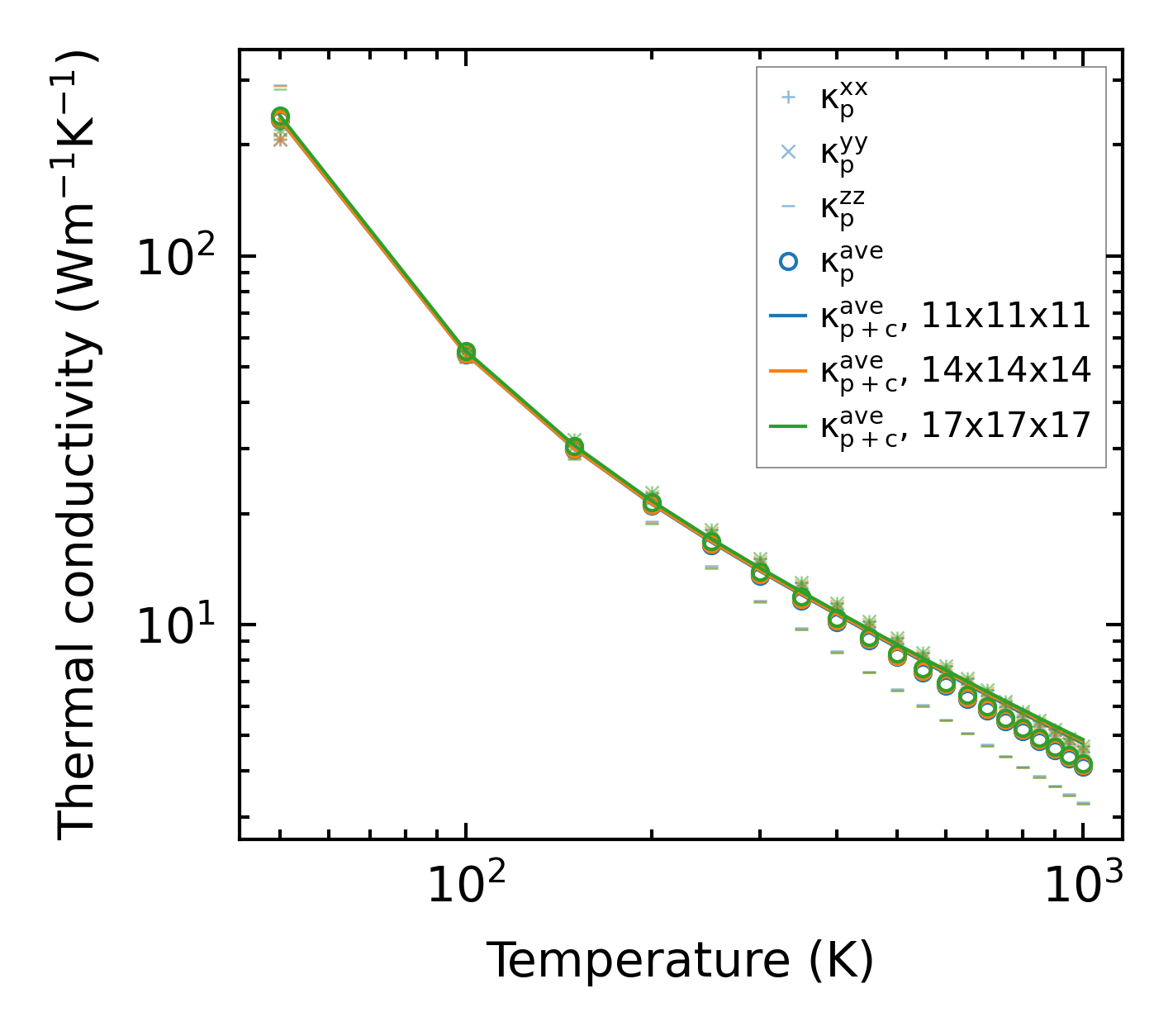
Thermal conductivity

3-phonon (LASSO) — q-mesh: 17x17x17, supercell: 3x3x1

../../_images/fig_kappa2065.png

(a) Temperature-dependent lattice thermal conductivity

../../_images/fig_kappa_vs_grain_size1081.png

(b) Peierls lattice thermal conductivity w.r.t grain size

Phonon lifetime and scattering rates

../../_images/fig_lifetime1061.png

(a) Phonon lifetime due to phonon-phonon scattering

../../_images/fig_scat_rates1060.png

(b) Phonon scattering rates

Cumulative and spectral thermal conductivity

../../_images/fig_cumu_frequency1061.png

(a) Spectral and cumulative thermal conductivity w.r.t frequency

../../_images/fig_cumu_mfp1061.png

(b) Spectral and cumulative thermal conductivity w.r.t MFP

Force constants

../../_images/fig_fc21699.png

(a) Force constants w.r.t atomic distance

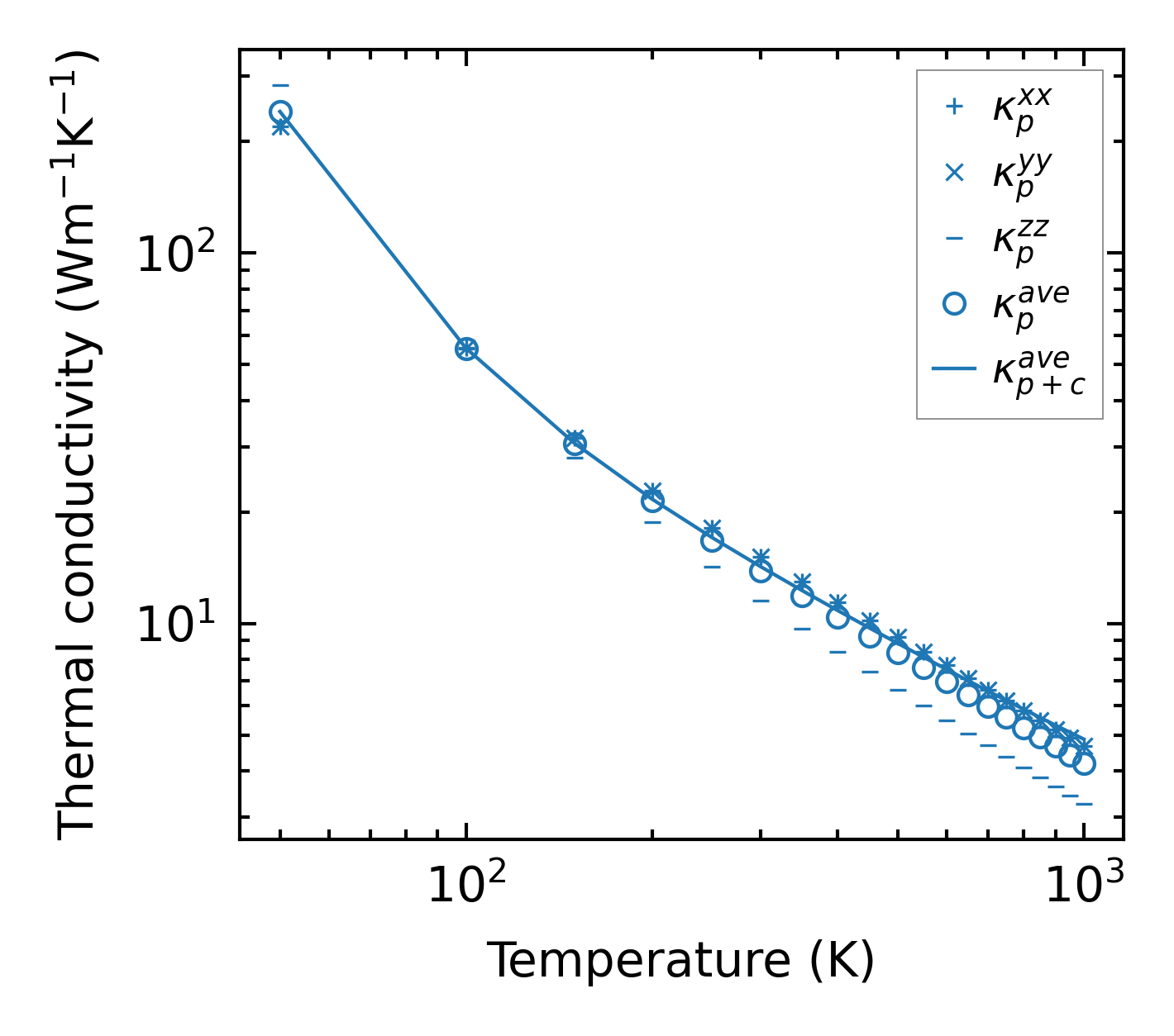
Summary

../../_images/fig_kappa2066.png

(a) Temperature-dependent lattice thermal conductivity

../../_images/fig_times2867.png

(b) Computation time