mp-8278/BaMg2P2/anharm

Harmonic properties

../../_images/fig_bandos_pr2116.png

(a) Phonon dispersion with participation ratio and DOS

../../_images/fig_thermo2116.png

(b) Thermodynamic properties

Grüneisen parameters

../../_images/fig_gru_all1216.png

(a) Grüneisen parameters

../../_images/fig_gruneisen1216.png

(b) Phonon dispersion with Grüneisen parameters

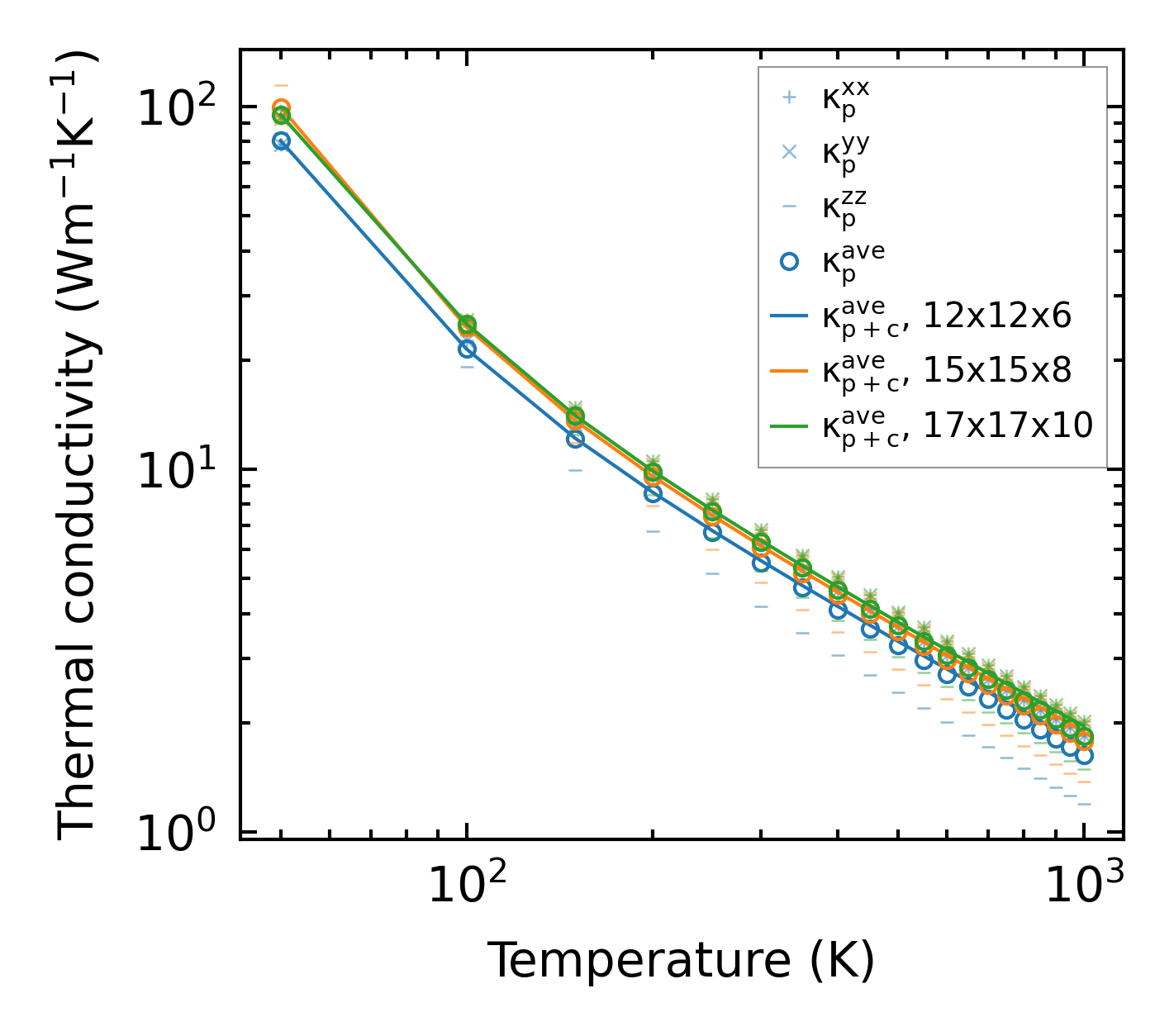
Thermal conductivity

3-phonon (LASSO) — q-mesh: 17x17x10, supercell: 3x3x2

../../_images/fig_kappa2344.png

(a) Temperature-dependent lattice thermal conductivity

../../_images/fig_kappa_vs_grain_size1230.png

(b) Peierls lattice thermal conductivity w.r.t grain size

Phonon lifetime and scattering rates

../../_images/fig_lifetime1206.png

(a) Phonon lifetime due to phonon-phonon scattering

../../_images/fig_scat_rates1205.png

(b) Phonon scattering rates

Cumulative and spectral thermal conductivity

../../_images/fig_cumu_frequency1206.png

(a) Spectral and cumulative thermal conductivity w.r.t frequency

../../_images/fig_cumu_mfp1206.png

(b) Spectral and cumulative thermal conductivity w.r.t MFP

Force constants

../../_images/fig_fc21937.png

(a) Force constants w.r.t atomic distance

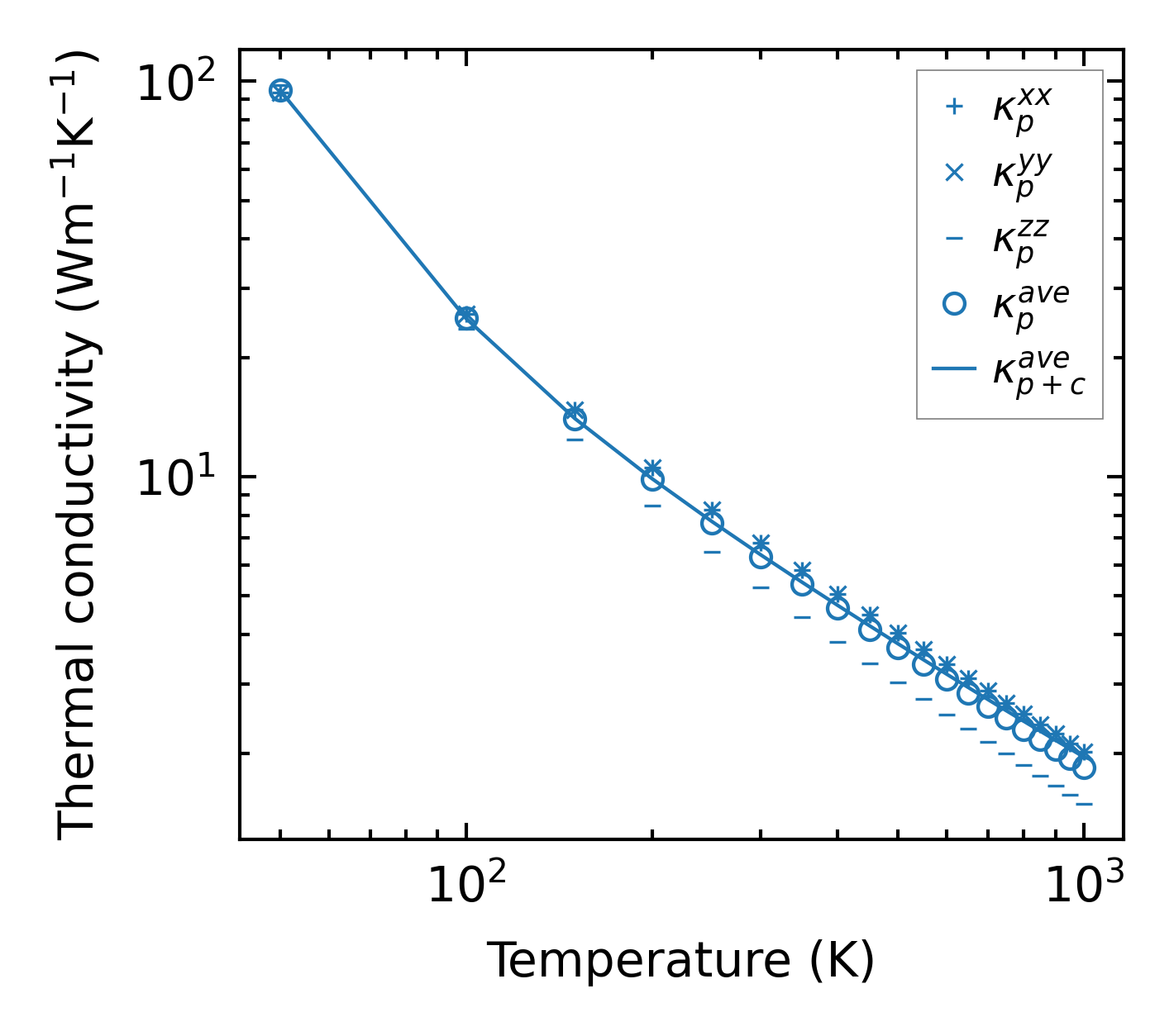
Summary

../../_images/fig_kappa2345.png

(a) Temperature-dependent lattice thermal conductivity

../../_images/fig_times3239.png

(b) Computation time