mp-8818/Ca2ZnN2/anharm

Harmonic properties

../../_images/fig_bandos_pr1925.png

(a) Phonon dispersion with participation ratio and DOS

../../_images/fig_thermo1925.png

(b) Thermodynamic properties

Grüneisen parameters

../../_images/fig_gru_all1103.png

(a) Grüneisen parameters

../../_images/fig_gruneisen1103.png

(b) Phonon dispersion with Grüneisen parameters

Thermal conductivity

3-phonon (LASSO) — q-mesh: 16x16x16, supercell: 3x3x1

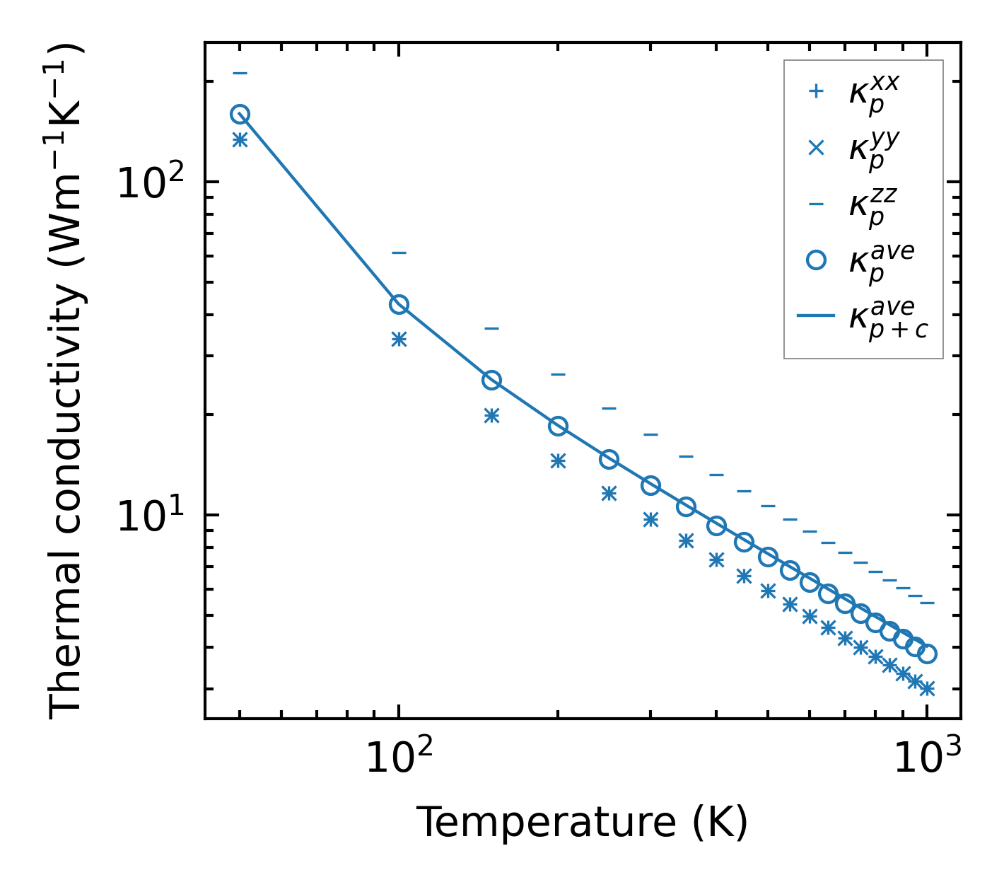
../../_images/fig_kappa2125.png

(a) Temperature-dependent lattice thermal conductivity

../../_images/fig_kappa_vs_grain_size1114.png

(b) Peierls lattice thermal conductivity w.r.t grain size

Phonon lifetime and scattering rates

../../_images/fig_lifetime1094.png

(a) Phonon lifetime due to phonon-phonon scattering

../../_images/fig_scat_rates1093.png

(b) Phonon scattering rates

Cumulative and spectral thermal conductivity

../../_images/fig_cumu_frequency1094.png

(a) Spectral and cumulative thermal conductivity w.r.t frequency

../../_images/fig_cumu_mfp1094.png

(b) Spectral and cumulative thermal conductivity w.r.t MFP

Force constants

../../_images/fig_fc21748.png

(a) Force constants w.r.t atomic distance

Summary

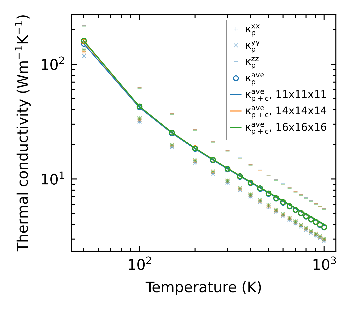
../../_images/fig_kappa2126.png

(a) Temperature-dependent lattice thermal conductivity

../../_images/fig_times2930.png

(b) Computation time