mp-8603-2/RbAgO/anharm

Equation of state

../../_images/fig_bm746.png

(a) Equation of state

Harmonic properties

../../_images/fig_bandos_pr1849.png

(a) Phonon dispersion with participation ratio and DOS

../../_images/fig_thermo1849.png

(b) Thermodynamic properties

Grüneisen parameters

../../_images/fig_gru_all1052.png

(a) Grüneisen parameters

../../_images/fig_gruneisen1052.png

(b) Phonon dispersion with Grüneisen parameters

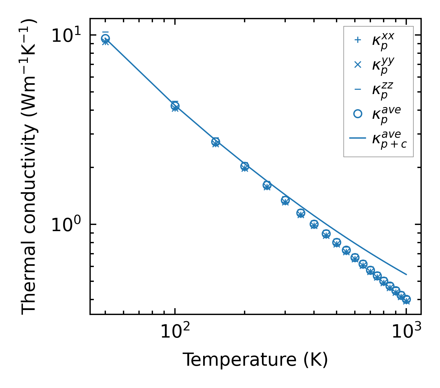
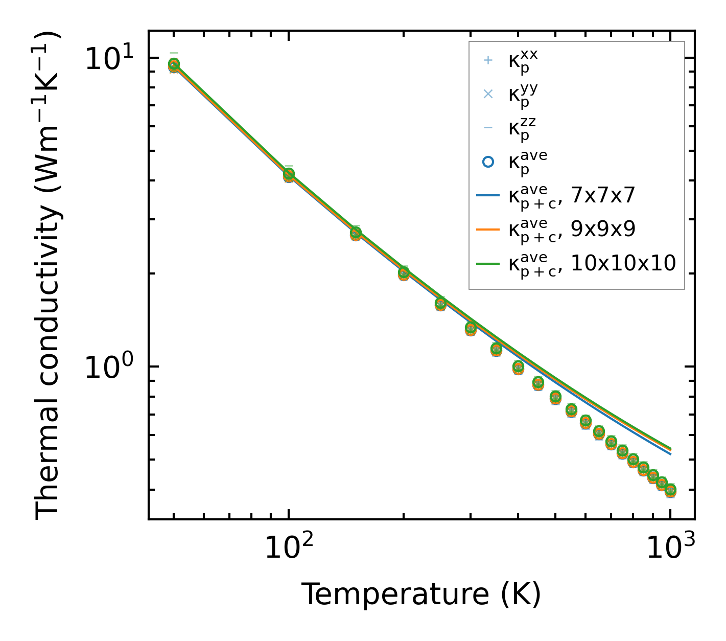
Thermal conductivity

3-phonon (LASSO) — q-mesh: 10x10x10, supercell: 1x1x2

../../_images/fig_kappa2036.png

(a) Temperature-dependent lattice thermal conductivity

../../_images/fig_kappa_vs_grain_size1063.png

(b) Peierls lattice thermal conductivity w.r.t grain size

Phonon lifetime and scattering rates

../../_images/fig_lifetime1043.png

(a) Phonon lifetime due to phonon-phonon scattering

../../_images/fig_scat_rates1042.png

(b) Phonon scattering rates

Cumulative and spectral thermal conductivity

../../_images/fig_cumu_frequency1043.png

(a) Spectral and cumulative thermal conductivity w.r.t frequency

../../_images/fig_cumu_mfp1043.png

(b) Spectral and cumulative thermal conductivity w.r.t MFP

Force constants

../../_images/fig_fc21672.png

(a) Force constants w.r.t atomic distance

Summary

../../_images/fig_kappa2037.png

(a) Temperature-dependent lattice thermal conductivity

../../_images/fig_times2831.png

(b) Computation time