mp-8176-2/RbTlO2/anharm

Equation of state

../../_images/fig_bm877.png

(a) Equation of state

Harmonic properties

../../_images/fig_bandos_pr2056.png

(a) Phonon dispersion with participation ratio and DOS

../../_images/fig_thermo2056.png

(b) Thermodynamic properties

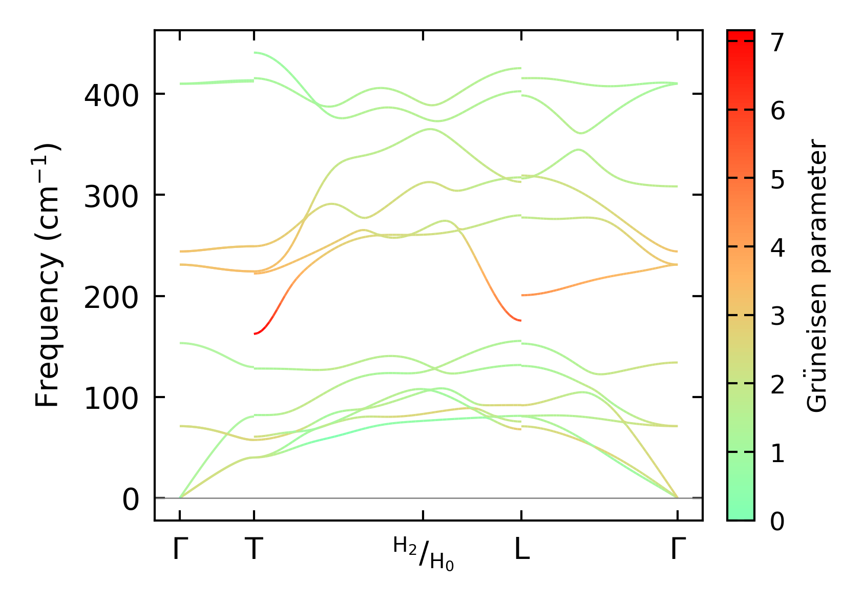
Grüneisen parameters

../../_images/fig_gru_all1175.png

(a) Grüneisen parameters

../../_images/fig_gruneisen1175.png

(b) Phonon dispersion with Grüneisen parameters

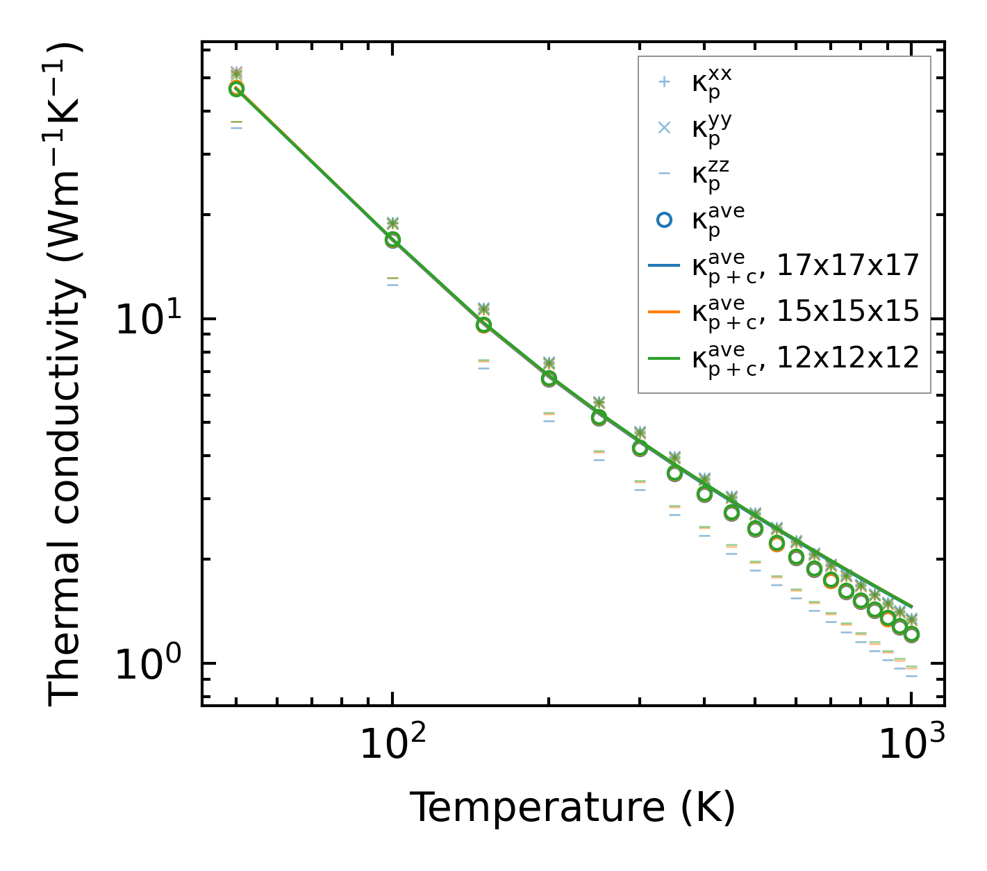
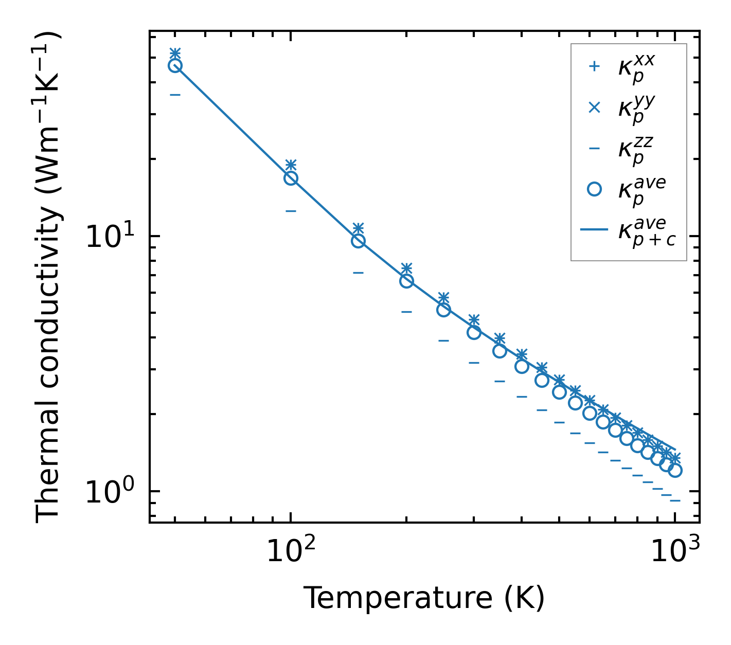
Thermal conductivity

3-phonon (LASSO) — q-mesh: 17x17x17, supercell: 3x3x1

../../_images/fig_kappa2264.png

(a) Temperature-dependent lattice thermal conductivity

../../_images/fig_kappa_vs_grain_size1189.png

(b) Peierls lattice thermal conductivity w.r.t grain size

Phonon lifetime and scattering rates

../../_images/fig_lifetime1165.png

(a) Phonon lifetime due to phonon-phonon scattering

../../_images/fig_scat_rates1164.png

(b) Phonon scattering rates

Cumulative and spectral thermal conductivity

../../_images/fig_cumu_frequency1165.png

(a) Spectral and cumulative thermal conductivity w.r.t frequency

../../_images/fig_cumu_mfp1165.png

(b) Spectral and cumulative thermal conductivity w.r.t MFP

Force constants

../../_images/fig_fc21877.png

(a) Force constants w.r.t atomic distance

Summary

../../_images/fig_kappa2265.png

(a) Temperature-dependent lattice thermal conductivity

../../_images/fig_times3171.png

(b) Computation time