mp-8603/RbAgO/anharm

Harmonic properties

../../_images/fig_bandos_pr1848.png

(a) Phonon dispersion with participation ratio and DOS

../../_images/fig_thermo1848.png

(b) Thermodynamic properties

Grüneisen parameters

../../_images/fig_gru_all1051.png

(a) Grüneisen parameters

../../_images/fig_gruneisen1051.png

(b) Phonon dispersion with Grüneisen parameters

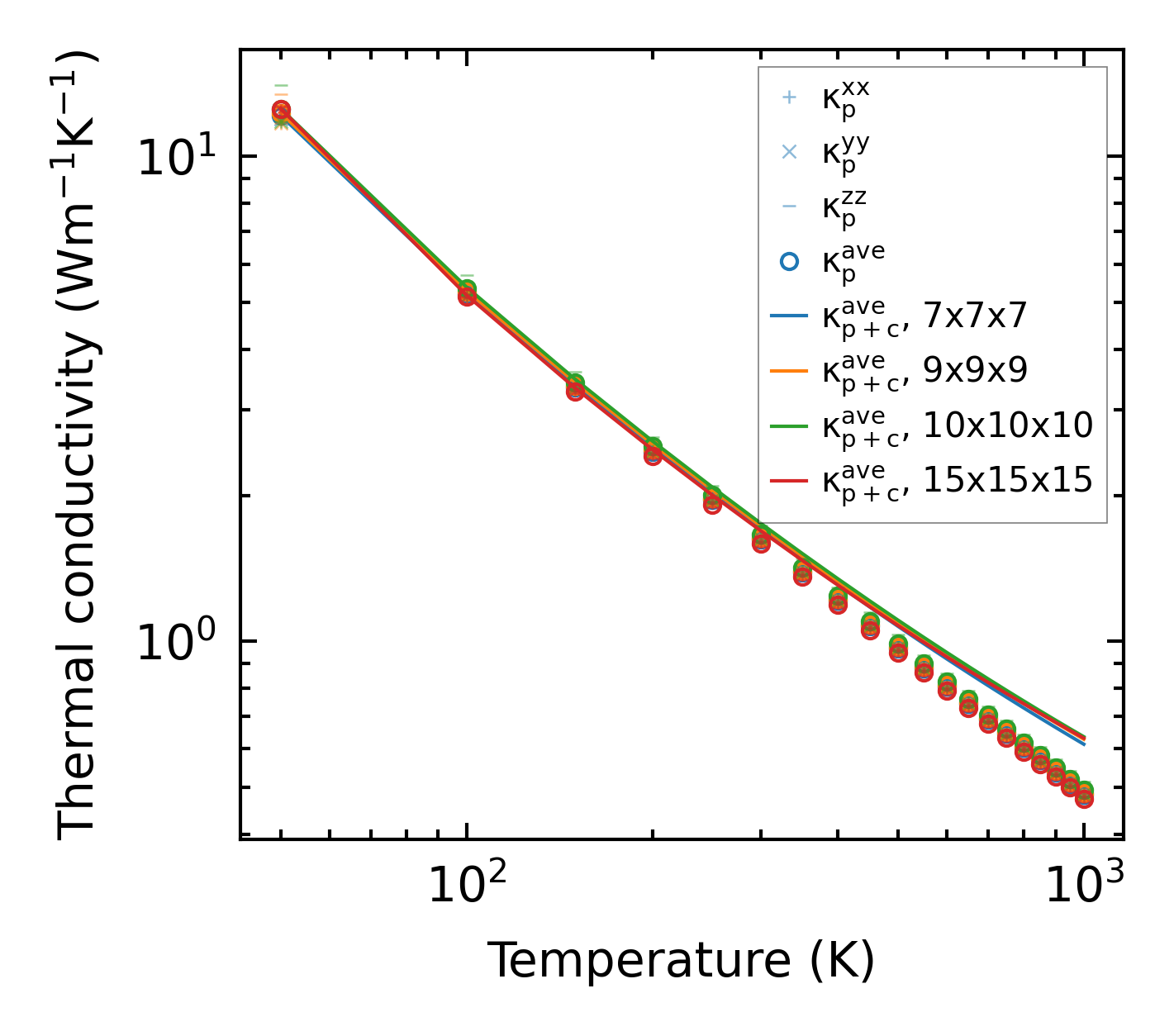
Thermal conductivity

Force constants

../../_images/fig_fc21671.png

(a) Force constants w.r.t atomic distance

Summary

../../_images/fig_kappa2035.png

(a) Temperature-dependent lattice thermal conductivity

../../_images/fig_times2830.png

(b) Computation time