mp-8399/CsCdF3/anharm

Harmonic properties

../../_images/fig_bandos_pr1808.png

(a) Phonon dispersion with participation ratio and DOS

../../_images/fig_thermo1808.png

(b) Thermodynamic properties

Grüneisen parameters

../../_images/fig_gru_all1024.png

(a) Grüneisen parameters

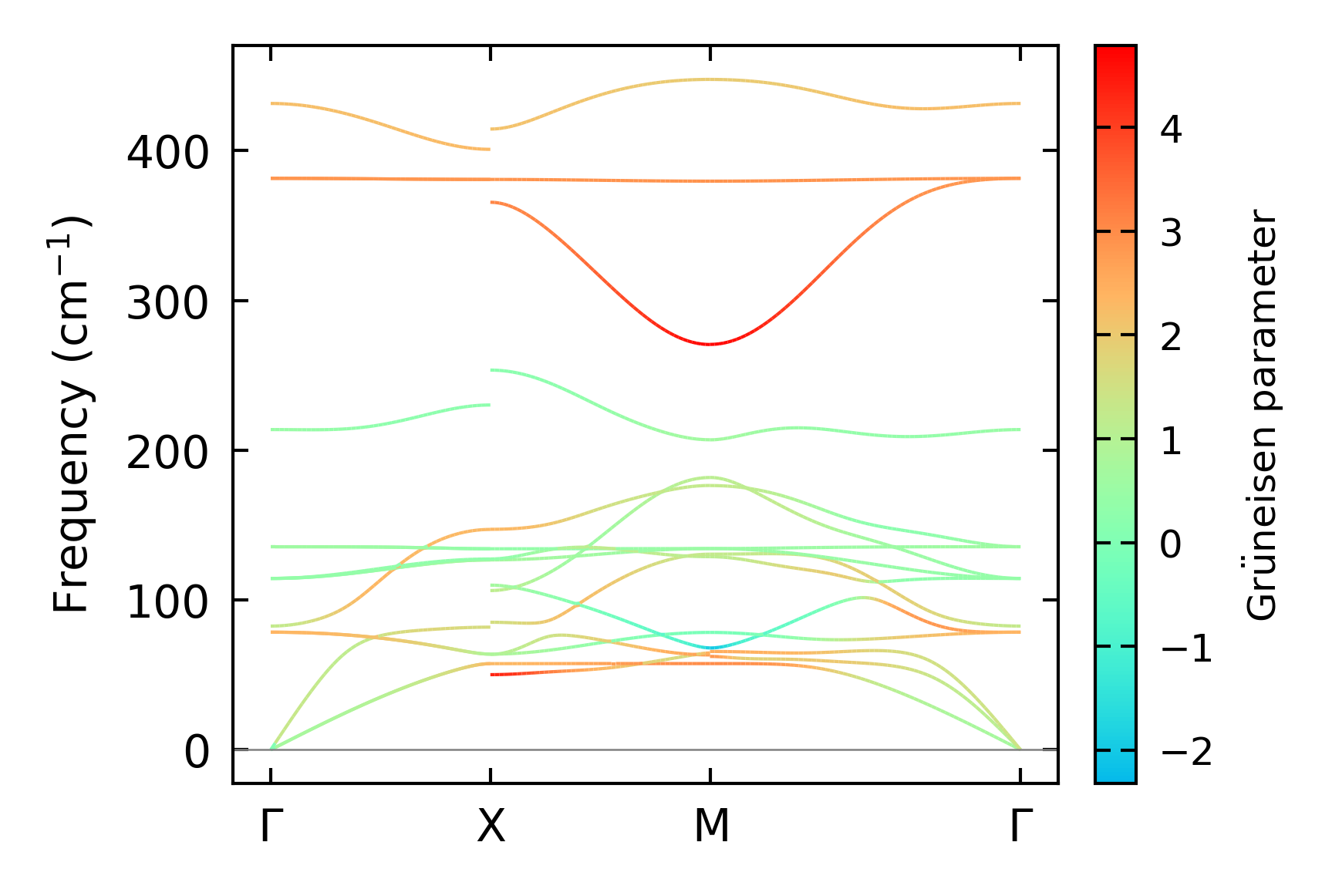
../../_images/fig_gruneisen1024.png

(b) Phonon dispersion with Grüneisen parameters

Thermal conductivity

3-phonon (LASSO) — q-mesh: 16x16x16, supercell: 3x3x3

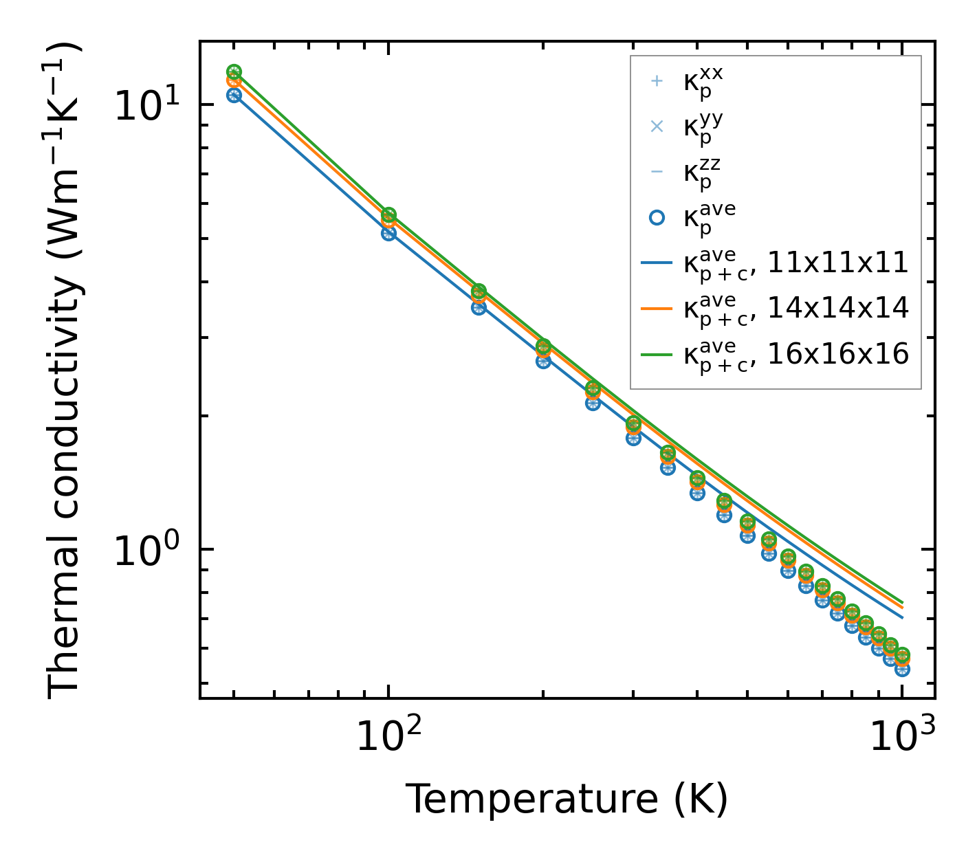
../../_images/fig_kappa1981.png

(a) Temperature-dependent lattice thermal conductivity

../../_images/fig_kappa_vs_grain_size1035.png

(b) Peierls lattice thermal conductivity w.r.t grain size

Phonon lifetime and scattering rates

../../_images/fig_lifetime1016.png

(a) Phonon lifetime due to phonon-phonon scattering

../../_images/fig_scat_rates1015.png

(b) Phonon scattering rates

Cumulative and spectral thermal conductivity

../../_images/fig_cumu_frequency1016.png

(a) Spectral and cumulative thermal conductivity w.r.t frequency

../../_images/fig_cumu_mfp1016.png

(b) Spectral and cumulative thermal conductivity w.r.t MFP

Force constants

../../_images/fig_fc21636.png

(a) Force constants w.r.t atomic distance

Summary

../../_images/fig_kappa1982.png

(a) Temperature-dependent lattice thermal conductivity

../../_images/fig_times2771.png

(b) Computation time