mp-8415-2/K2HfF6/anharm

Equation of state

../../_images/fig_bm728.png

(a) Equation of state

Harmonic properties

../../_images/fig_bandos_pr1816.png

(a) Phonon dispersion with participation ratio and DOS

../../_images/fig_thermo1816.png

(b) Thermodynamic properties

Grüneisen parameters

../../_images/fig_gru_all1030.png

(a) Grüneisen parameters

../../_images/fig_gruneisen1030.png

(b) Phonon dispersion with Grüneisen parameters

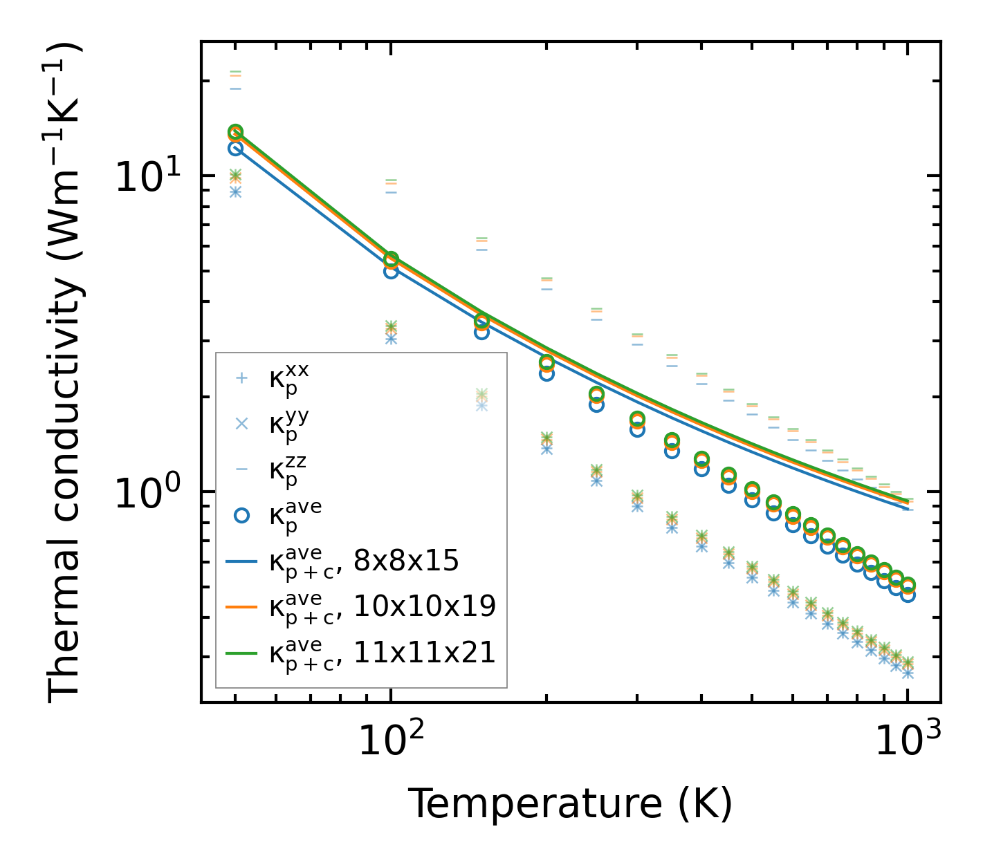
Thermal conductivity

3-phonon (LASSO) — q-mesh: 11x11x21, supercell: 2x2x4

../../_images/fig_kappa1993.png

(a) Temperature-dependent lattice thermal conductivity

../../_images/fig_kappa_vs_grain_size1041.png

(b) Peierls lattice thermal conductivity w.r.t grain size

Phonon lifetime and scattering rates

../../_images/fig_lifetime1022.png

(a) Phonon lifetime due to phonon-phonon scattering

../../_images/fig_scat_rates1021.png

(b) Phonon scattering rates

Cumulative and spectral thermal conductivity

../../_images/fig_cumu_frequency1022.png

(a) Spectral and cumulative thermal conductivity w.r.t frequency

../../_images/fig_cumu_mfp1022.png

(b) Spectral and cumulative thermal conductivity w.r.t MFP

Force constants

../../_images/fig_fc21642.png

(a) Force constants w.r.t atomic distance

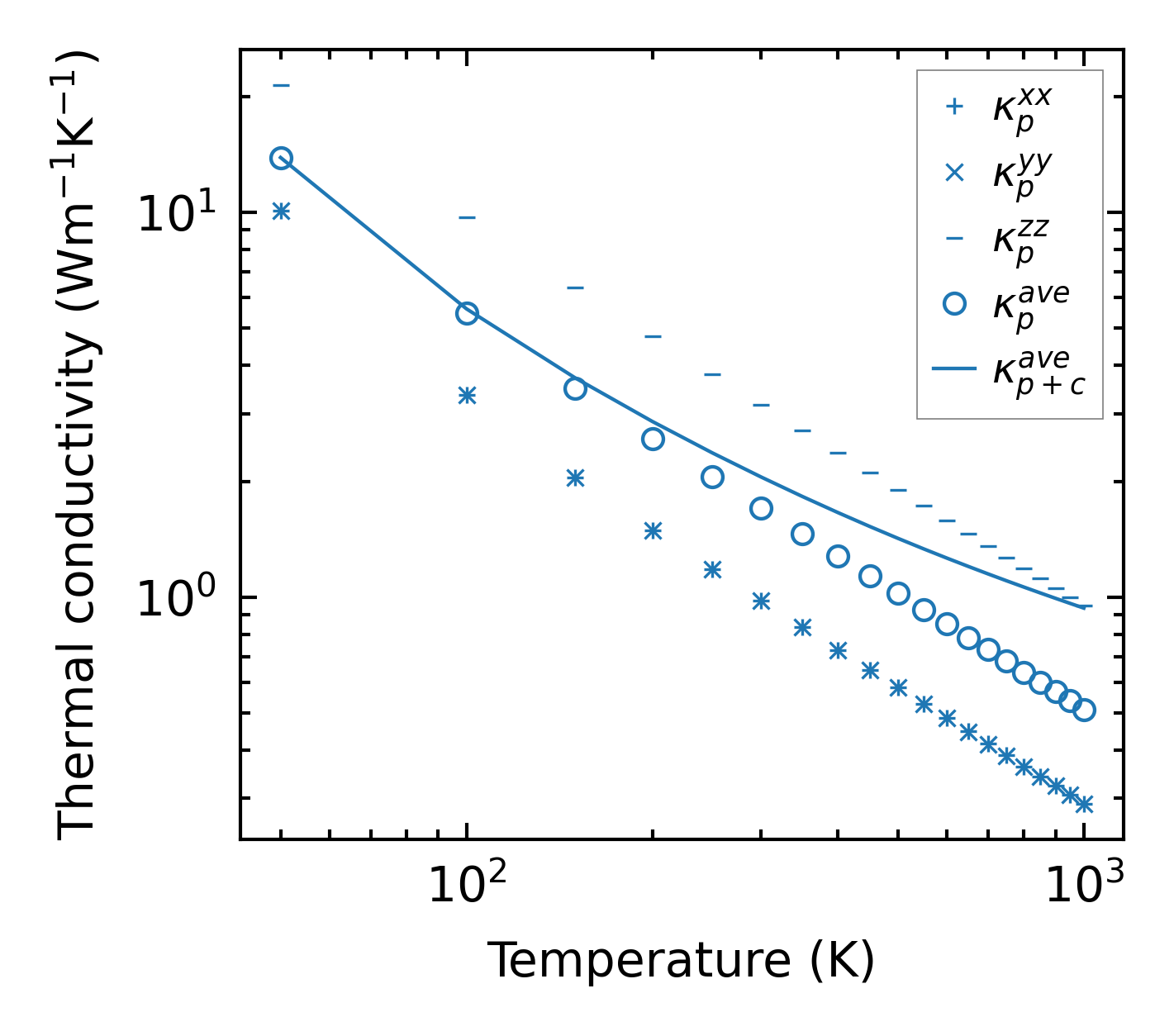
Summary

../../_images/fig_kappa1994.png

(a) Temperature-dependent lattice thermal conductivity

../../_images/fig_times2780.png

(b) Computation time