mp-8130/CaGeO3/anharm

Harmonic properties

../../_images/fig_bandos_pr2046.png

(a) Phonon dispersion with participation ratio and DOS

../../_images/fig_thermo2046.png

(b) Thermodynamic properties

Grüneisen parameters

../../_images/fig_gru_all1167.png

(a) Grüneisen parameters

../../_images/fig_gruneisen1167.png

(b) Phonon dispersion with Grüneisen parameters

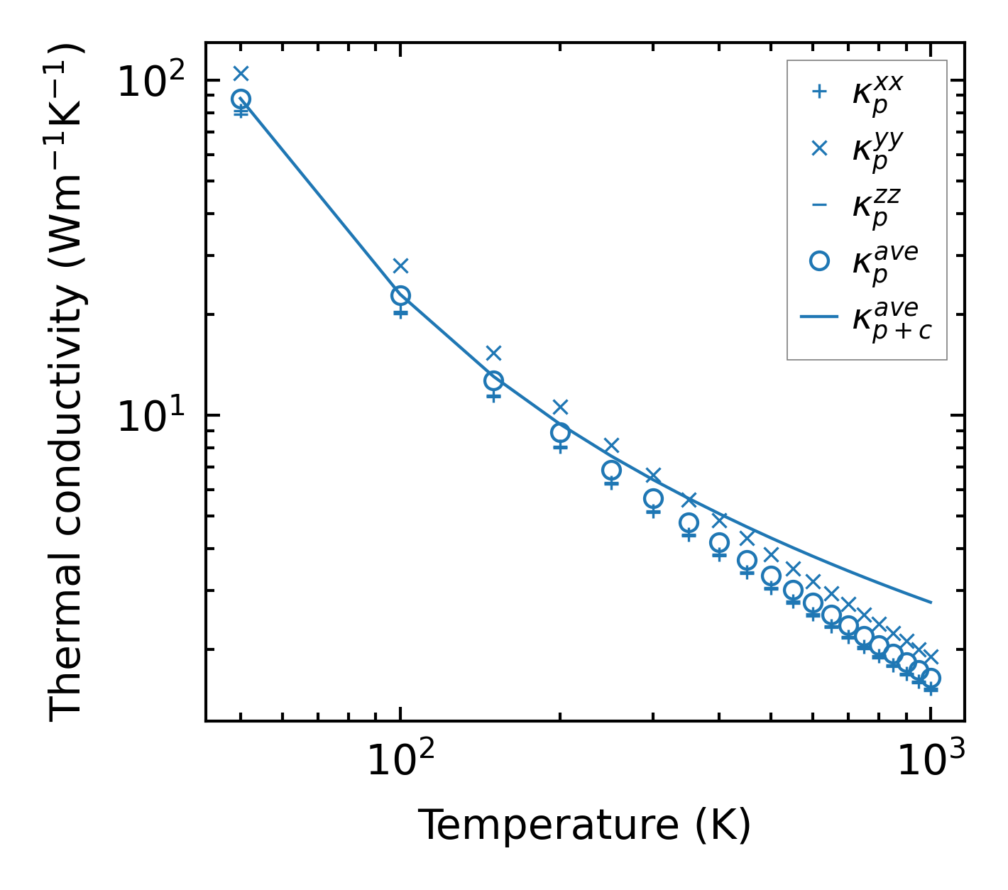
Thermal conductivity

3-phonon (LASSO) — q-mesh: 13x9x13, supercell: 2x1x2

../../_images/fig_kappa2248.png

(a) Temperature-dependent lattice thermal conductivity

../../_images/fig_kappa_vs_grain_size1181.png

(b) Peierls lattice thermal conductivity w.r.t grain size

Phonon lifetime and scattering rates

../../_images/fig_lifetime1157.png

(a) Phonon lifetime due to phonon-phonon scattering

../../_images/fig_scat_rates1156.png

(b) Phonon scattering rates

Cumulative and spectral thermal conductivity

../../_images/fig_cumu_frequency1157.png

(a) Spectral and cumulative thermal conductivity w.r.t frequency

../../_images/fig_cumu_mfp1157.png

(b) Spectral and cumulative thermal conductivity w.r.t MFP

Force constants

../../_images/fig_fc21867.png

(a) Force constants w.r.t atomic distance

Summary

../../_images/fig_kappa2249.png

(a) Temperature-dependent lattice thermal conductivity

../../_images/fig_times3155.png

(b) Computation time