mp-8401/CsMgF3/anharm

Harmonic properties

../../_images/fig_bandos_pr1809.png

(a) Phonon dispersion with participation ratio and DOS

../../_images/fig_thermo1809.png

(b) Thermodynamic properties

Grüneisen parameters

../../_images/fig_gru_all1025.png

(a) Grüneisen parameters

../../_images/fig_gruneisen1025.png

(b) Phonon dispersion with Grüneisen parameters

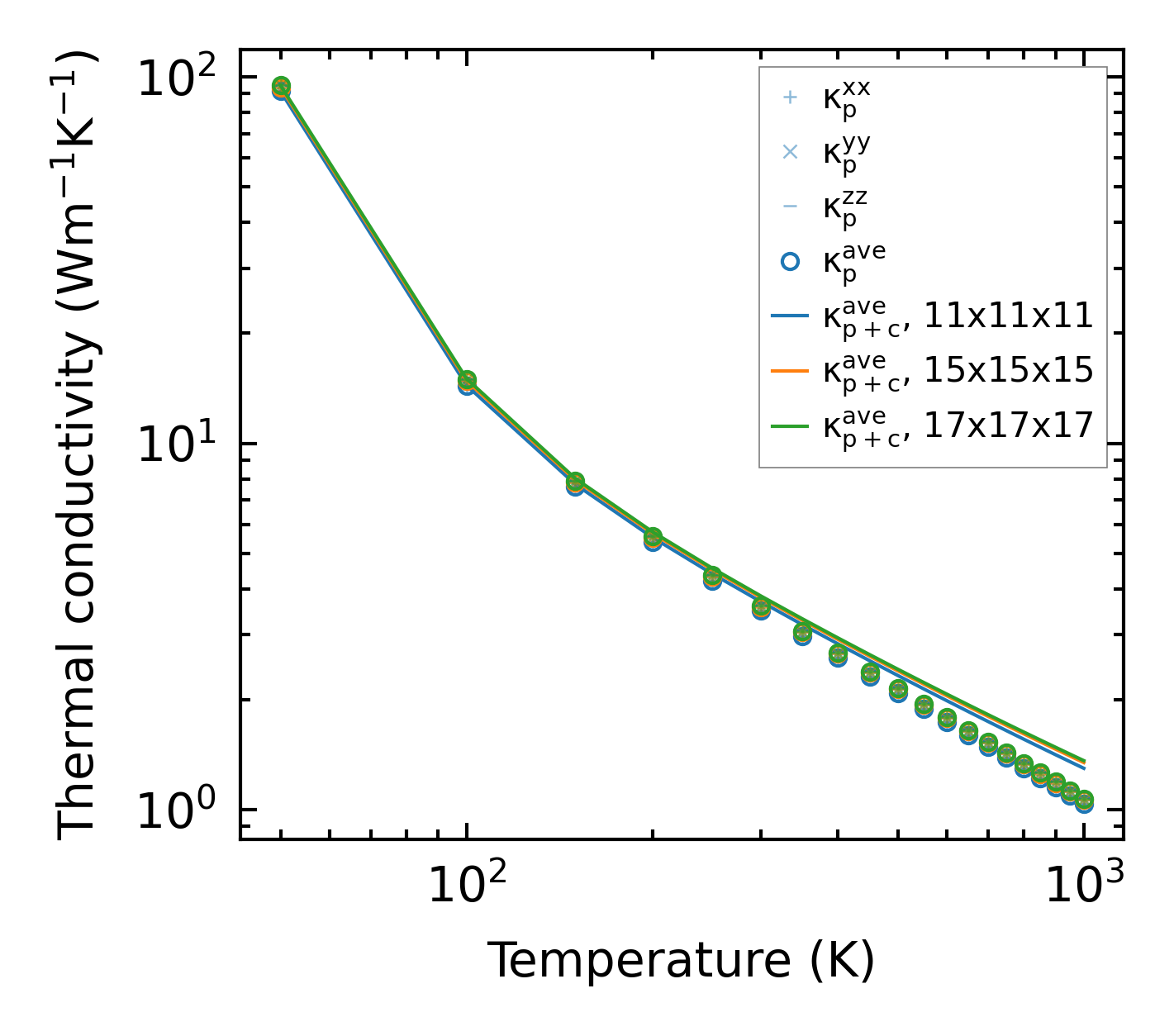
Thermal conductivity

3-phonon — q-mesh: 17x17x17, supercell: 3x3x3

../../_images/fig_kappa1983.png

(a) Temperature-dependent lattice thermal conductivity

../../_images/fig_kappa_vs_grain_size1036.png

(b) Peierls lattice thermal conductivity w.r.t grain size

Phonon lifetime and scattering rates

../../_images/fig_lifetime1017.png

(a) Phonon lifetime due to phonon-phonon scattering

../../_images/fig_scat_rates1016.png

(b) Phonon scattering rates

Cumulative and spectral thermal conductivity

../../_images/fig_cumu_frequency1017.png

(a) Spectral and cumulative thermal conductivity w.r.t frequency

../../_images/fig_cumu_mfp1017.png

(b) Spectral and cumulative thermal conductivity w.r.t MFP

Force constants

../../_images/fig_fc3172.png

(a) Force constants w.r.t atomic distance

Summary

../../_images/fig_kappa1984.png

(a) Temperature-dependent lattice thermal conductivity

../../_images/fig_times2772.png

(b) Computation time