mp-8470/NaPrO2/anharm

Harmonic properties

../../_images/fig_bandos_pr1827.png

(a) Phonon dispersion with participation ratio and DOS

../../_images/fig_thermo1827.png

(b) Thermodynamic properties

Grüneisen parameters

../../_images/fig_gru_all1040.png

(a) Grüneisen parameters

../../_images/fig_gruneisen1040.png

(b) Phonon dispersion with Grüneisen parameters

Thermal conductivity

3-phonon (LASSO) — q-mesh: 14x14x14, supercell: 3x3x1

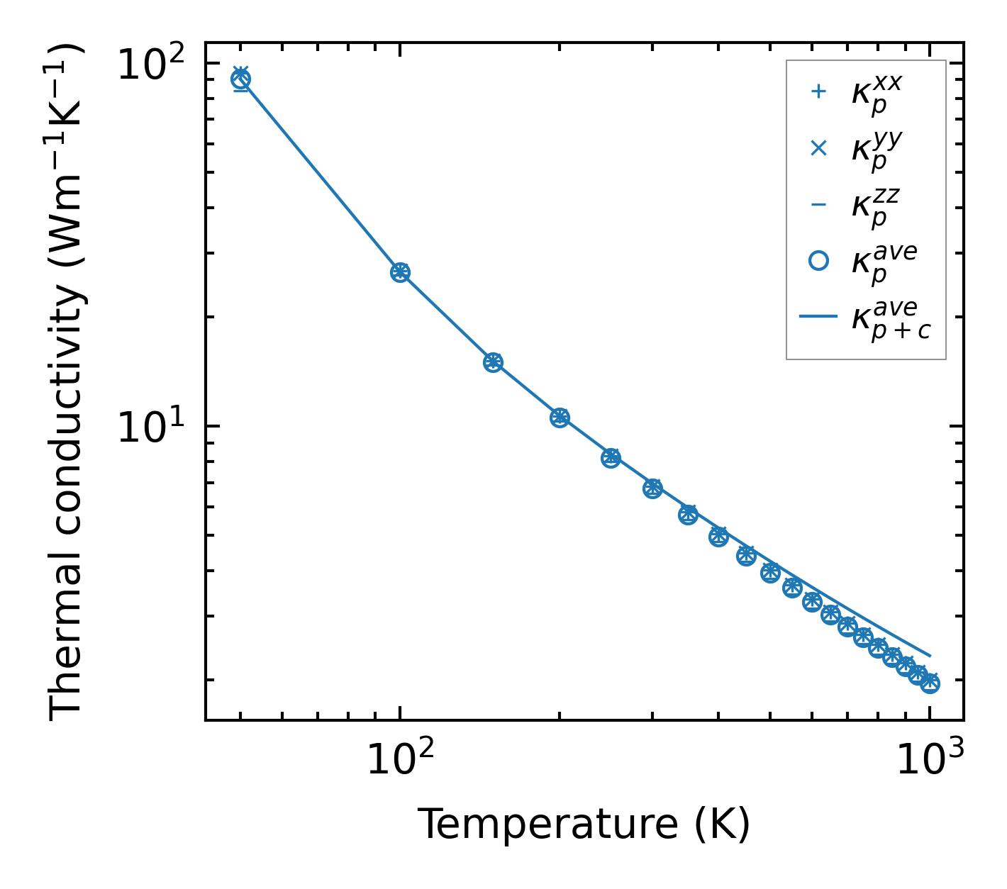
../../_images/fig_kappa2014.png

(a) Temperature-dependent lattice thermal conductivity

../../_images/fig_kappa_vs_grain_size1052.png

(b) Peierls lattice thermal conductivity w.r.t grain size

Phonon lifetime and scattering rates

../../_images/fig_lifetime1032.png

(a) Phonon lifetime due to phonon-phonon scattering

../../_images/fig_scat_rates1031.png

(b) Phonon scattering rates

Cumulative and spectral thermal conductivity

../../_images/fig_cumu_frequency1032.png

(a) Spectral and cumulative thermal conductivity w.r.t frequency

../../_images/fig_cumu_mfp1032.png

(b) Spectral and cumulative thermal conductivity w.r.t MFP

Force constants

../../_images/fig_fc21650.png

(a) Force constants w.r.t atomic distance

Summary

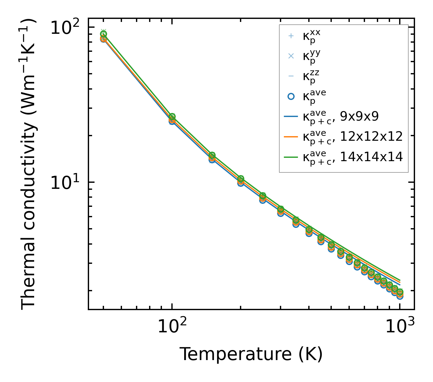
../../_images/fig_kappa2015.png

(a) Temperature-dependent lattice thermal conductivity

../../_images/fig_times2795.png

(b) Computation time