mp-8454/KF/anharm

Harmonic properties

../../_images/fig_bandos_pr1823.png

(a) Phonon dispersion with participation ratio and DOS

../../_images/fig_thermo1823.png

(b) Thermodynamic properties

Grüneisen parameters

../../_images/fig_gru_all1037.png

(a) Grüneisen parameters

../../_images/fig_gruneisen1037.png

(b) Phonon dispersion with Grüneisen parameters

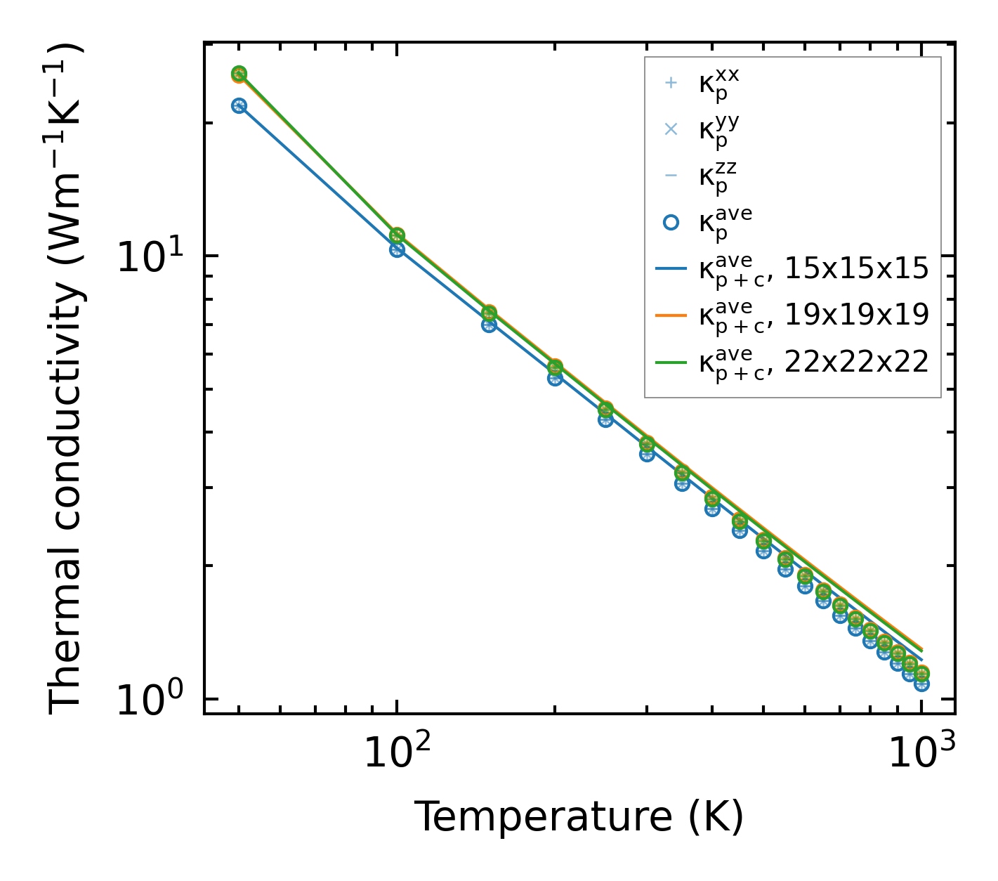
Thermal conductivity

3-phonon — q-mesh: 22x22x22, supercell: 4x4x4

../../_images/fig_kappa2008.png

(a) Temperature-dependent lattice thermal conductivity

../../_images/fig_kappa_vs_grain_size1049.png

(b) Peierls lattice thermal conductivity w.r.t grain size

Phonon lifetime and scattering rates

../../_images/fig_lifetime1029.png

(a) Phonon lifetime due to phonon-phonon scattering

../../_images/fig_scat_rates1028.png

(b) Phonon scattering rates

Cumulative and spectral thermal conductivity

../../_images/fig_cumu_frequency1029.png

(a) Spectral and cumulative thermal conductivity w.r.t frequency

../../_images/fig_cumu_mfp1029.png

(b) Spectral and cumulative thermal conductivity w.r.t MFP

Force constants

../../_images/fig_fc3175.png

(a) Force constants w.r.t atomic distance

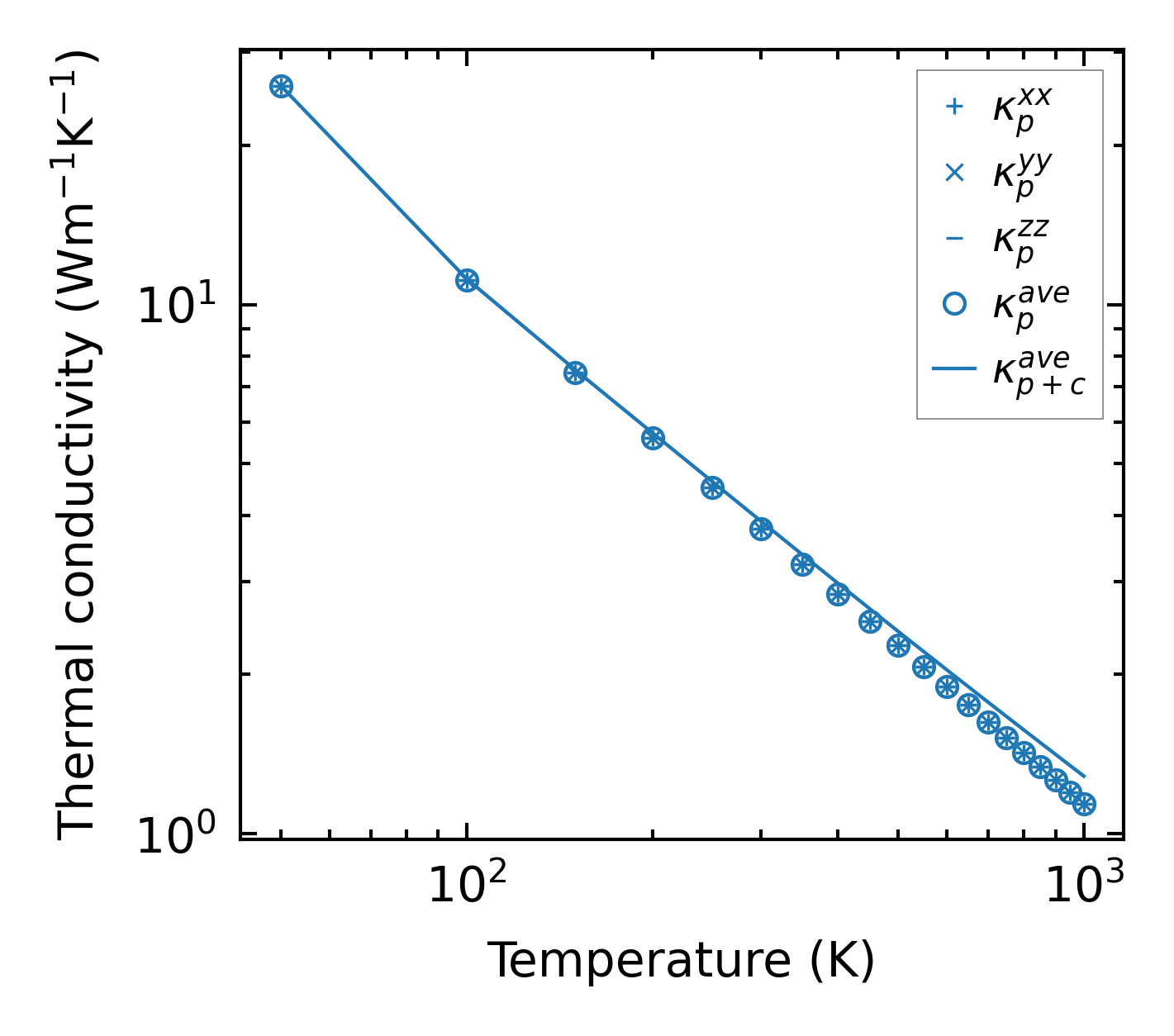
Summary

../../_images/fig_kappa2009.png

(a) Temperature-dependent lattice thermal conductivity

../../_images/fig_times2790.png

(b) Computation time