mp-8415/K2HfF6/anharm

Harmonic properties

../../_images/fig_bandos_pr1815.png

(a) Phonon dispersion with participation ratio and DOS

../../_images/fig_thermo1815.png

(b) Thermodynamic properties

Grüneisen parameters

../../_images/fig_gru_all1029.png

(a) Grüneisen parameters

../../_images/fig_gruneisen1029.png

(b) Phonon dispersion with Grüneisen parameters

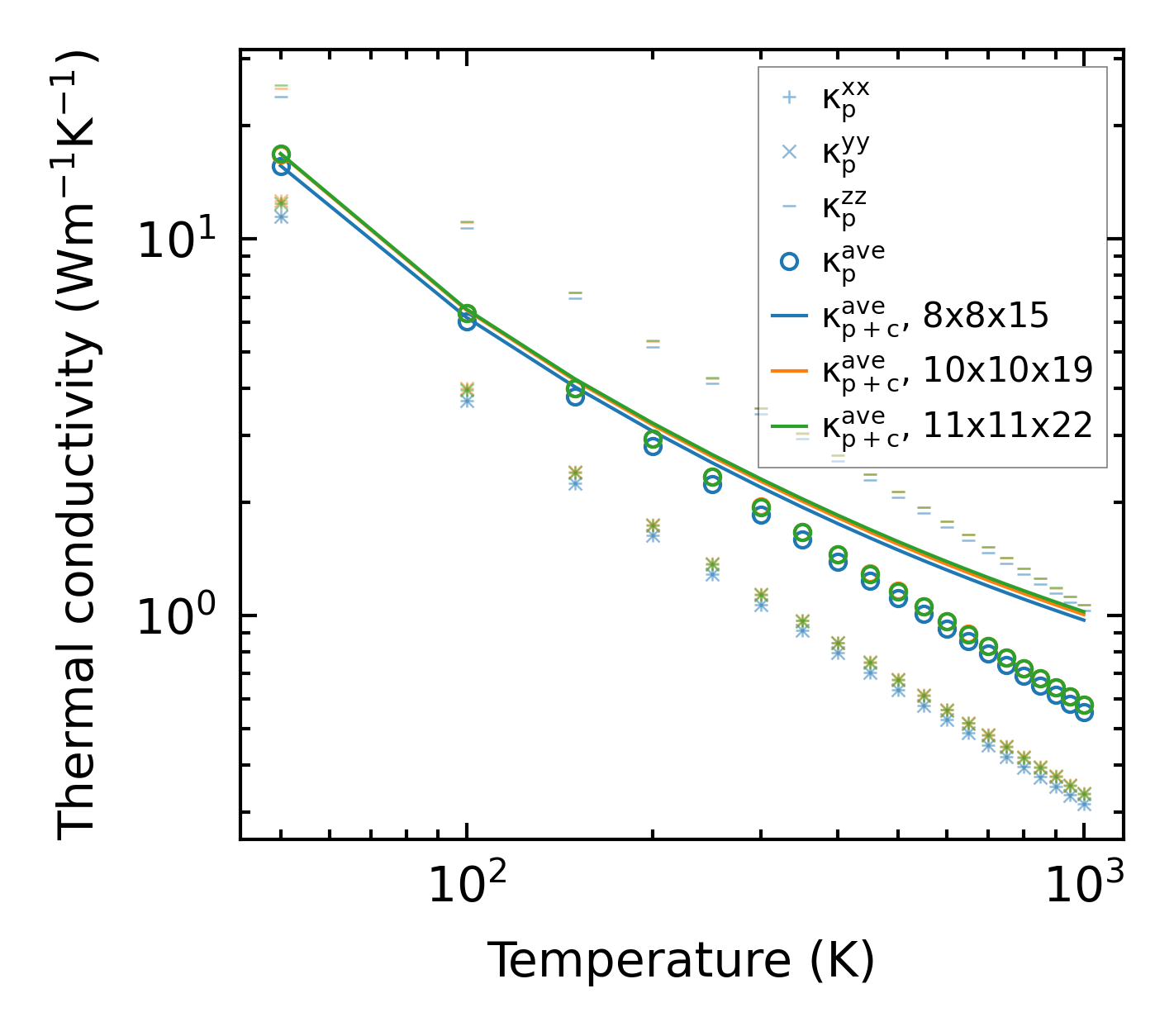
Thermal conductivity

3-phonon (LASSO) — q-mesh: 11x11x22, supercell: 2x2x4

../../_images/fig_kappa1991.png

(a) Temperature-dependent lattice thermal conductivity

../../_images/fig_kappa_vs_grain_size1040.png

(b) Peierls lattice thermal conductivity w.r.t grain size

Phonon lifetime and scattering rates

../../_images/fig_lifetime1021.png

(a) Phonon lifetime due to phonon-phonon scattering

../../_images/fig_scat_rates1020.png

(b) Phonon scattering rates

Cumulative and spectral thermal conductivity

../../_images/fig_cumu_frequency1021.png

(a) Spectral and cumulative thermal conductivity w.r.t frequency

../../_images/fig_cumu_mfp1021.png

(b) Spectral and cumulative thermal conductivity w.r.t MFP

Force constants

../../_images/fig_fc21641.png

(a) Force constants w.r.t atomic distance

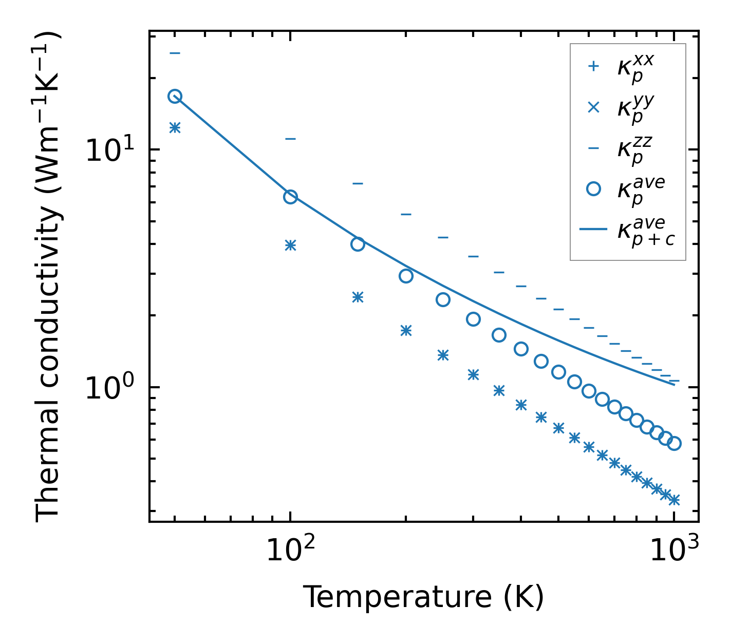
Summary

../../_images/fig_kappa1992.png

(a) Temperature-dependent lattice thermal conductivity

../../_images/fig_times2779.png

(b) Computation time