mp-8426/K2Se/anharm

Harmonic properties

../../_images/fig_bandos_pr1818.png

(a) Phonon dispersion with participation ratio and DOS

../../_images/fig_thermo1818.png

(b) Thermodynamic properties

Grüneisen parameters

../../_images/fig_gru_all1032.png

(a) Grüneisen parameters

../../_images/fig_gruneisen1032.png

(b) Phonon dispersion with Grüneisen parameters

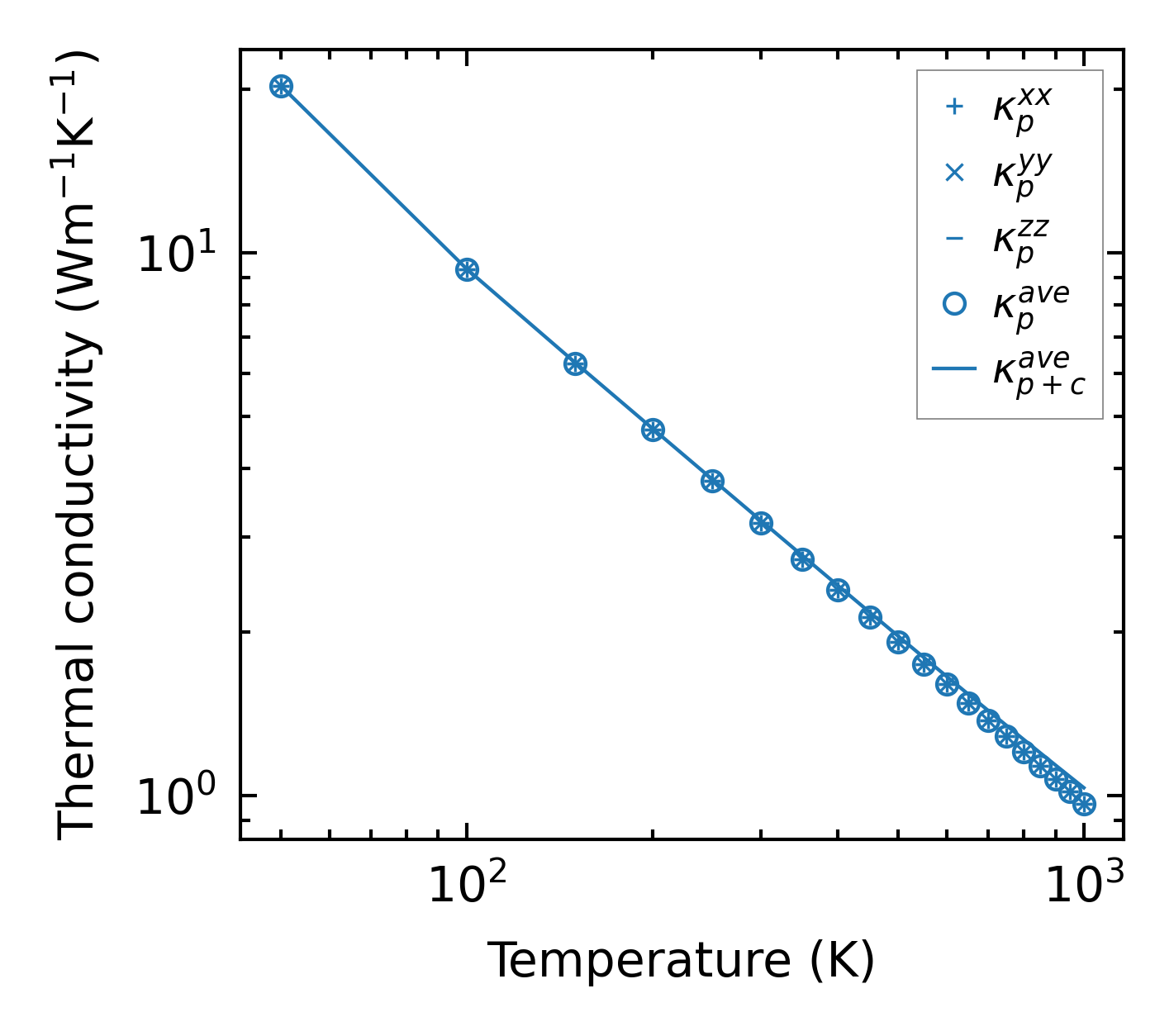
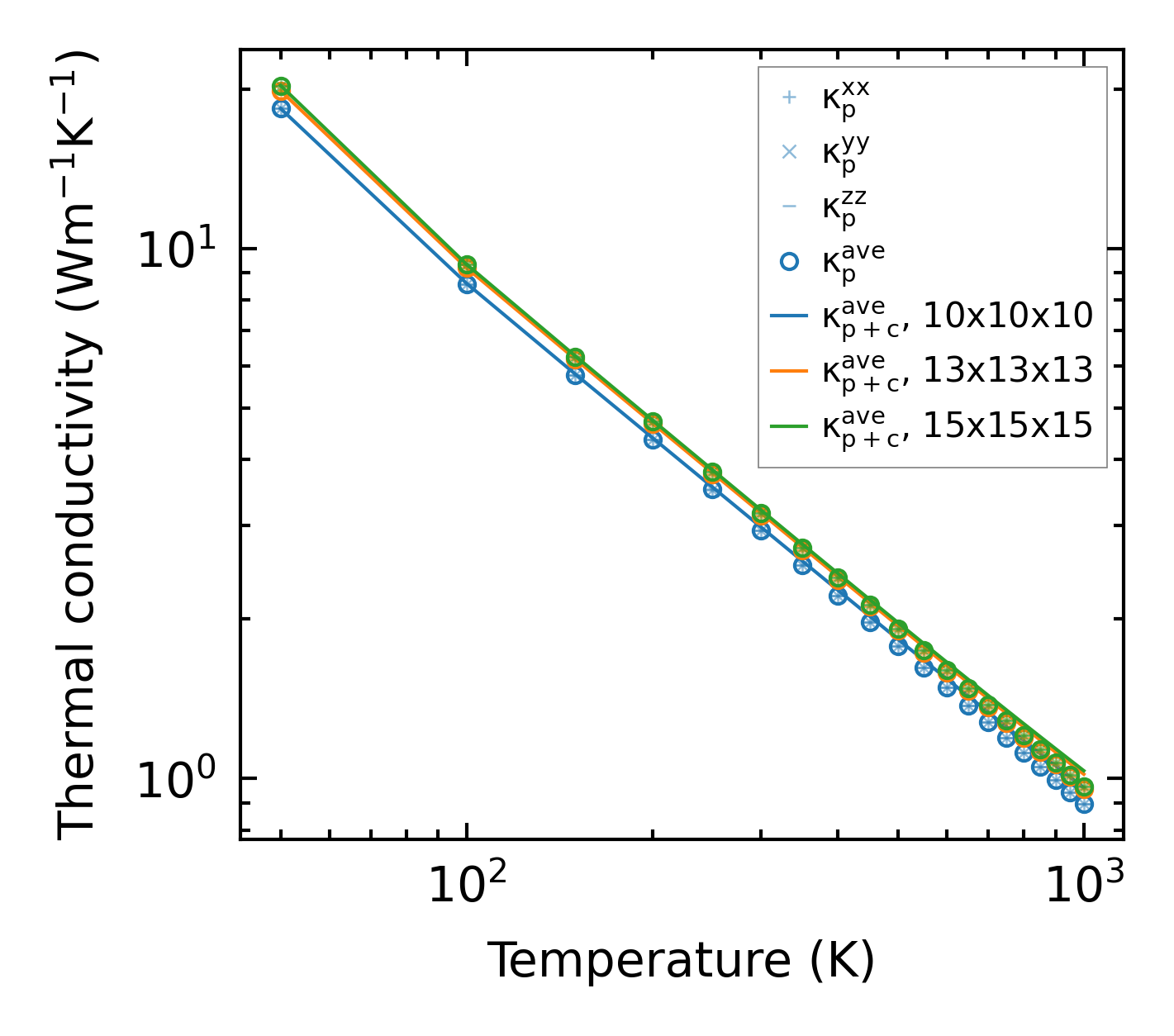
Thermal conductivity

3-phonon — q-mesh: 15x15x15, supercell: 2x2x2

../../_images/fig_kappa1997.png

(a) Temperature-dependent lattice thermal conductivity

../../_images/fig_kappa_vs_grain_size1043.png

(b) Peierls lattice thermal conductivity w.r.t grain size

Phonon lifetime and scattering rates

../../_images/fig_lifetime1024.png

(a) Phonon lifetime due to phonon-phonon scattering

../../_images/fig_scat_rates1023.png

(b) Phonon scattering rates

Cumulative and spectral thermal conductivity

../../_images/fig_cumu_frequency1024.png

(a) Spectral and cumulative thermal conductivity w.r.t frequency

../../_images/fig_cumu_mfp1024.png

(b) Spectral and cumulative thermal conductivity w.r.t MFP

Force constants

../../_images/fig_fc3174.png

(a) Force constants w.r.t atomic distance

Summary

../../_images/fig_kappa1998.png

(a) Temperature-dependent lattice thermal conductivity

../../_images/fig_times2784.png

(b) Computation time