mp-8507/SrP6Pt4/anharm

Harmonic properties

../../_images/fig_bandos_pr1834.png

(a) Phonon dispersion with participation ratio and DOS

../../_images/fig_thermo1834.png

(b) Thermodynamic properties

Grüneisen parameters

../../_images/fig_gru_all1042.png

(a) Grüneisen parameters

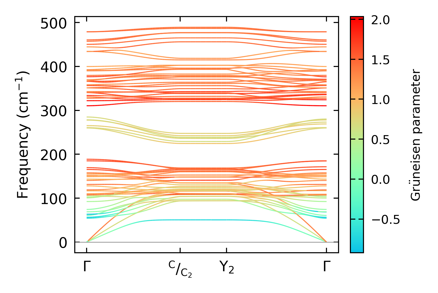
../../_images/fig_gruneisen1042.png

(b) Phonon dispersion with Grüneisen parameters

Thermal conductivity

3-phonon (LASSO) — q-mesh: 12x12x6, supercell: 1x2x1

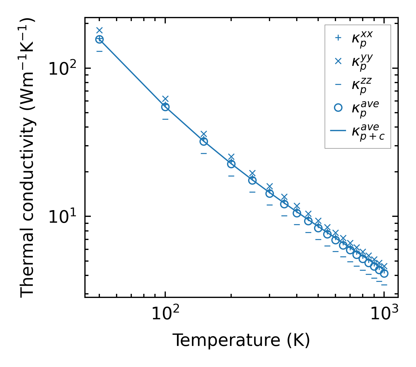
../../_images/fig_kappa2018.png

(a) Temperature-dependent lattice thermal conductivity

../../_images/fig_kappa_vs_grain_size1054.png

(b) Peierls lattice thermal conductivity w.r.t grain size

Phonon lifetime and scattering rates

../../_images/fig_lifetime1034.png

(a) Phonon lifetime due to phonon-phonon scattering

../../_images/fig_scat_rates1033.png

(b) Phonon scattering rates

Cumulative and spectral thermal conductivity

../../_images/fig_cumu_frequency1034.png

(a) Spectral and cumulative thermal conductivity w.r.t frequency

../../_images/fig_cumu_mfp1034.png

(b) Spectral and cumulative thermal conductivity w.r.t MFP

Force constants

../../_images/fig_fc21657.png

(a) Force constants w.r.t atomic distance

Summary

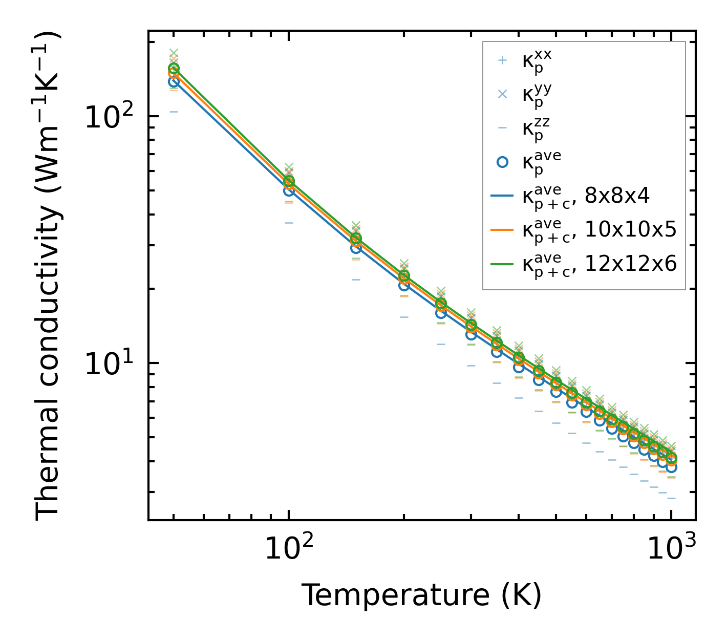
../../_images/fig_kappa2019.png

(a) Temperature-dependent lattice thermal conductivity

../../_images/fig_times2806.png

(b) Computation time