mp-8753/K4HgP2/anharm

Harmonic properties

../../_images/fig_bandos_pr1909.png

(a) Phonon dispersion with participation ratio and DOS

../../_images/fig_thermo1909.png

(b) Thermodynamic properties

Grüneisen parameters

../../_images/fig_gru_all1088.png

(a) Grüneisen parameters

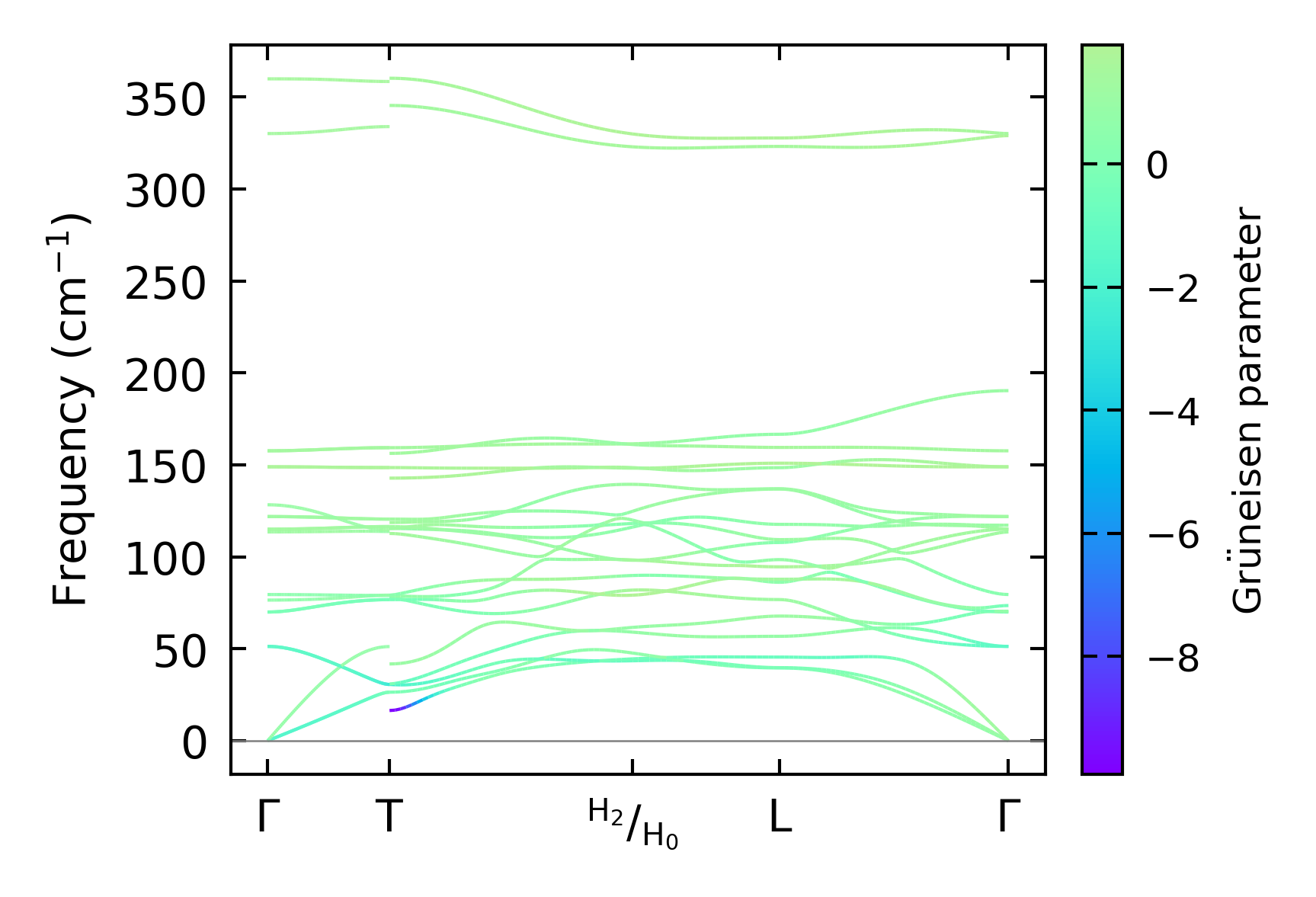
../../_images/fig_gruneisen1088.png

(b) Phonon dispersion with Grüneisen parameters

Thermal conductivity

3-phonon (LASSO) — q-mesh: 11x11x11, supercell: 2x2x1

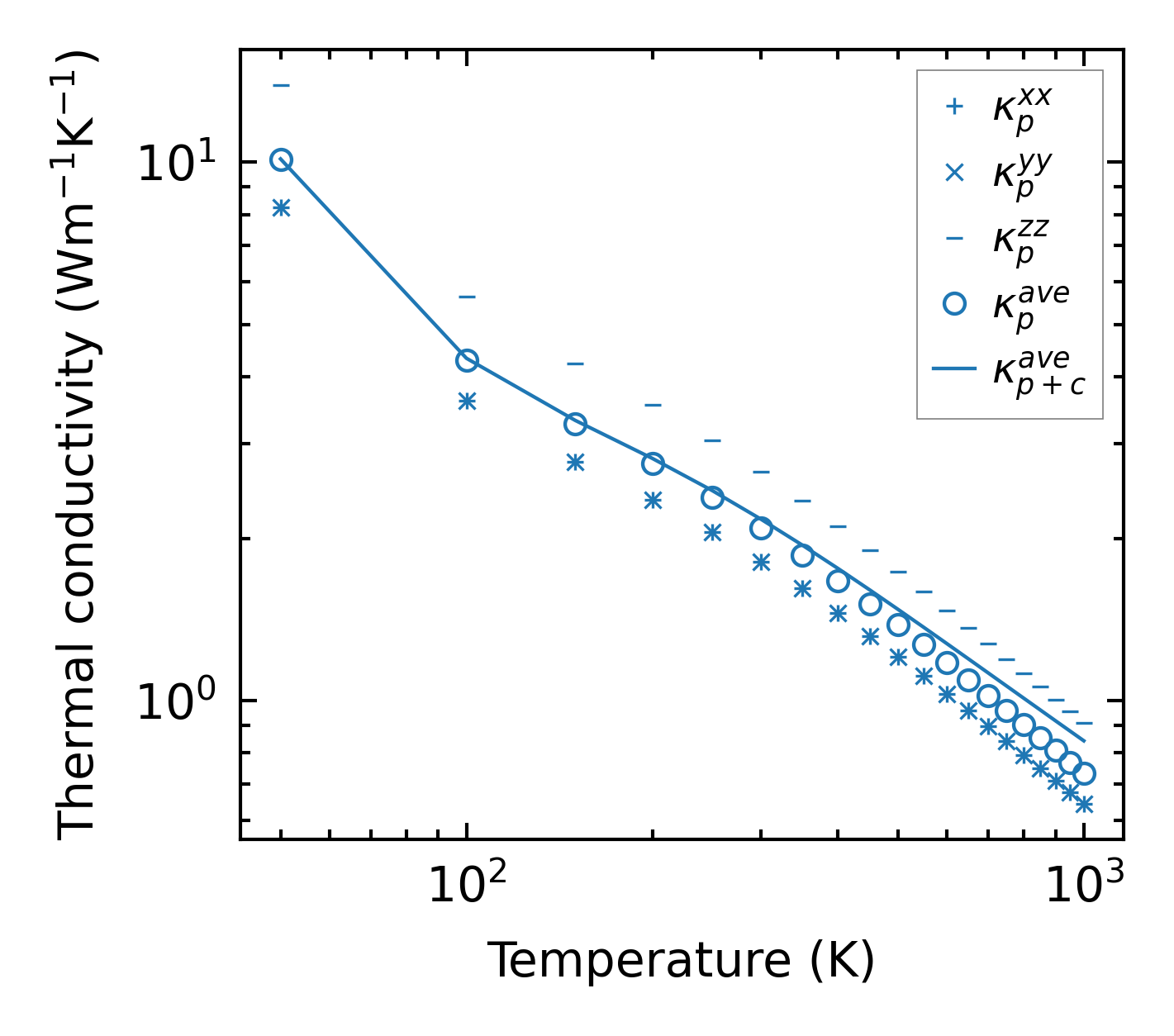
../../_images/fig_kappa2099.png

(a) Temperature-dependent lattice thermal conductivity

../../_images/fig_kappa_vs_grain_size1099.png

(b) Peierls lattice thermal conductivity w.r.t grain size

Phonon lifetime and scattering rates

../../_images/fig_lifetime1079.png

(a) Phonon lifetime due to phonon-phonon scattering

../../_images/fig_scat_rates1078.png

(b) Phonon scattering rates

Cumulative and spectral thermal conductivity

../../_images/fig_cumu_frequency1079.png

(a) Spectral and cumulative thermal conductivity w.r.t frequency

../../_images/fig_cumu_mfp1079.png

(b) Spectral and cumulative thermal conductivity w.r.t MFP

Force constants

../../_images/fig_fc21732.png

(a) Force constants w.r.t atomic distance

Summary

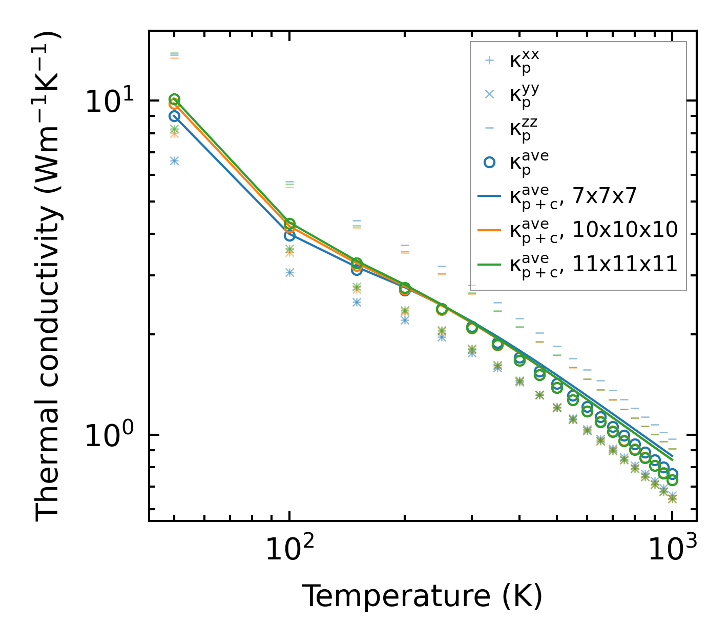
../../_images/fig_kappa2100.png

(a) Temperature-dependent lattice thermal conductivity

../../_images/fig_times2900.png

(b) Computation time