mp-8947/SrB2S4/anharm

Harmonic properties

../../_images/fig_bandos_pr1660.png

(a) Phonon dispersion with participation ratio and DOS

../../_images/fig_thermo1660.png

(b) Thermodynamic properties

Grüneisen parameters

../../_images/fig_gru_all973.png

(a) Grüneisen parameters

../../_images/fig_gruneisen973.png

(b) Phonon dispersion with Grüneisen parameters

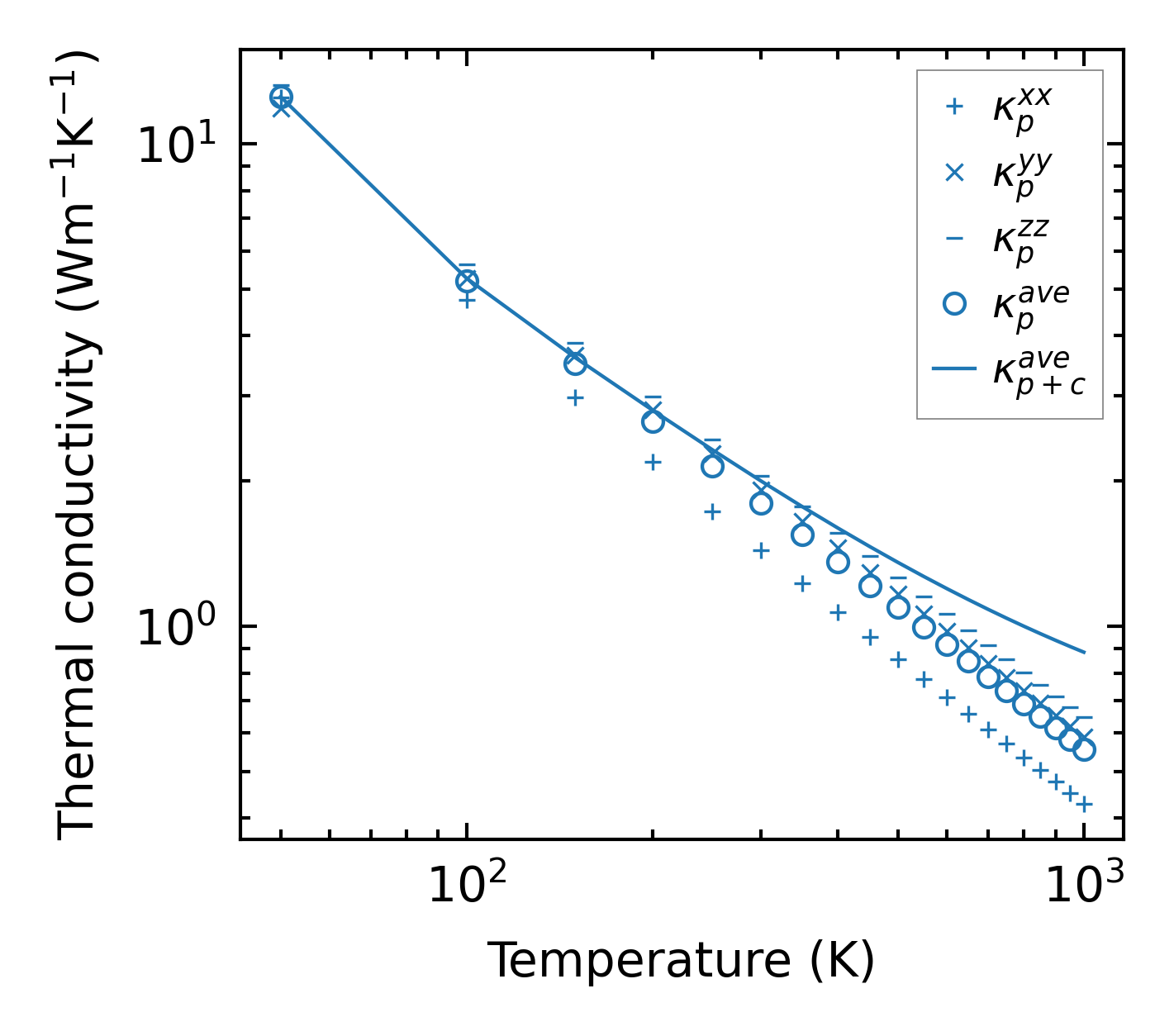
Thermal conductivity

3-phonon (LASSO) — q-mesh: 11x5x12, supercell: 2x1x2

../../_images/fig_kappa1887.png

(a) Temperature-dependent lattice thermal conductivity

../../_images/fig_kappa_vs_grain_size984.png

(b) Peierls lattice thermal conductivity w.r.t grain size

Phonon lifetime and scattering rates

../../_images/fig_lifetime966.png

(a) Phonon lifetime due to phonon-phonon scattering

../../_images/fig_scat_rates965.png

(b) Phonon scattering rates

Cumulative and spectral thermal conductivity

../../_images/fig_cumu_frequency966.png

(a) Spectral and cumulative thermal conductivity w.r.t frequency

../../_images/fig_cumu_mfp966.png

(b) Spectral and cumulative thermal conductivity w.r.t MFP

Force constants

../../_images/fig_fc21493.png

(a) Force constants w.r.t atomic distance

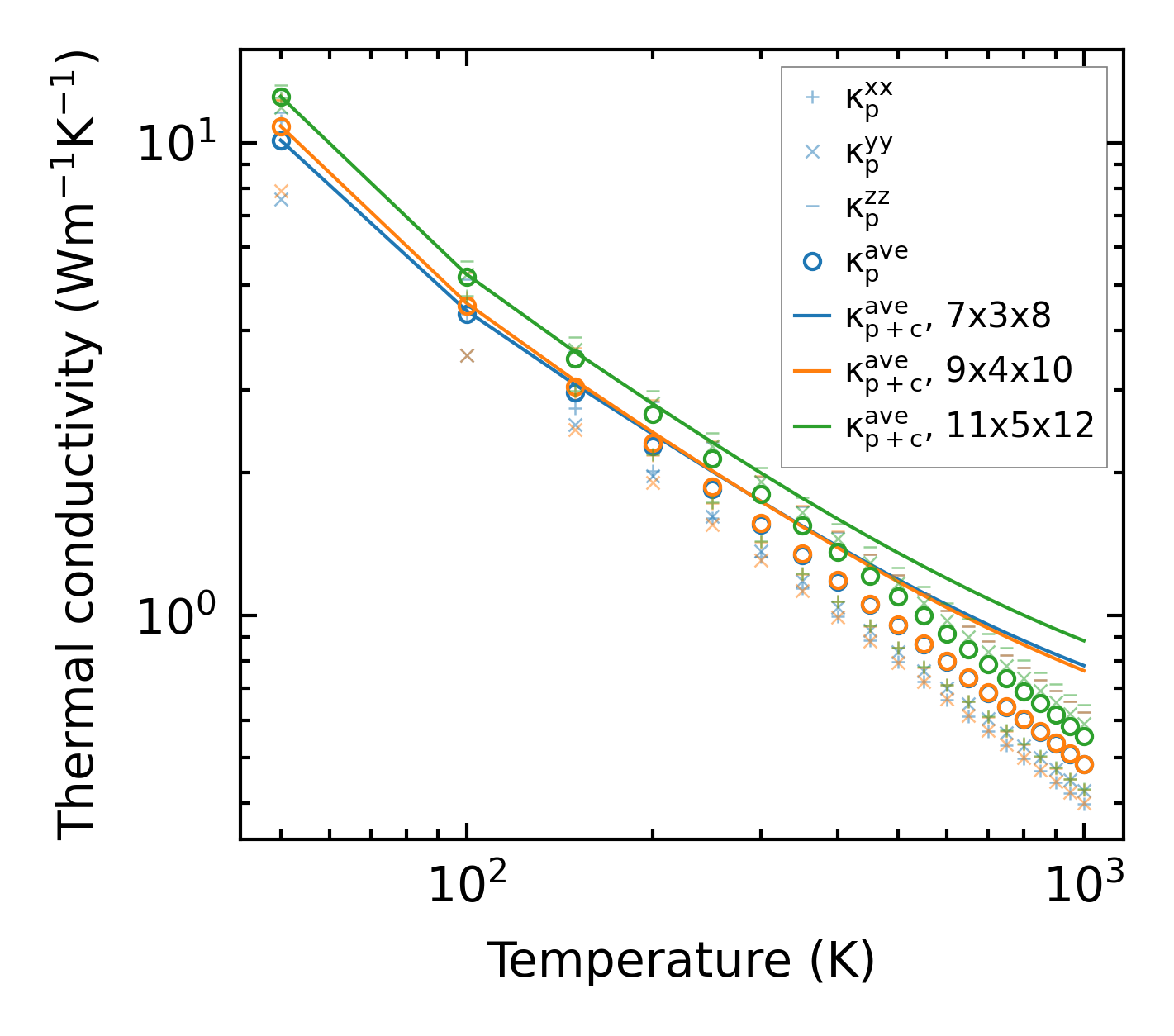
Summary

../../_images/fig_kappa1888.png

(a) Temperature-dependent lattice thermal conductivity

../../_images/fig_times2485.png

(b) Computation time